🇳🇴 🇬🇧 🇩🇪 🇨🇿 🇫🇮

Meteor, poloha: Rypefjord 2023-12-09 22:33:42 UTC

Soubor KML  |  InteraktivnĂ­ mapa

Mapa zobrazuje dráhy meteoru. Světlejší čáry ukazují směry od pozorovacích stanic při objevení se meteoru a tmavší čáry, kde byl naposledy viděn. Modrá šipka značí viditelnou dráhu meteoru.

static map
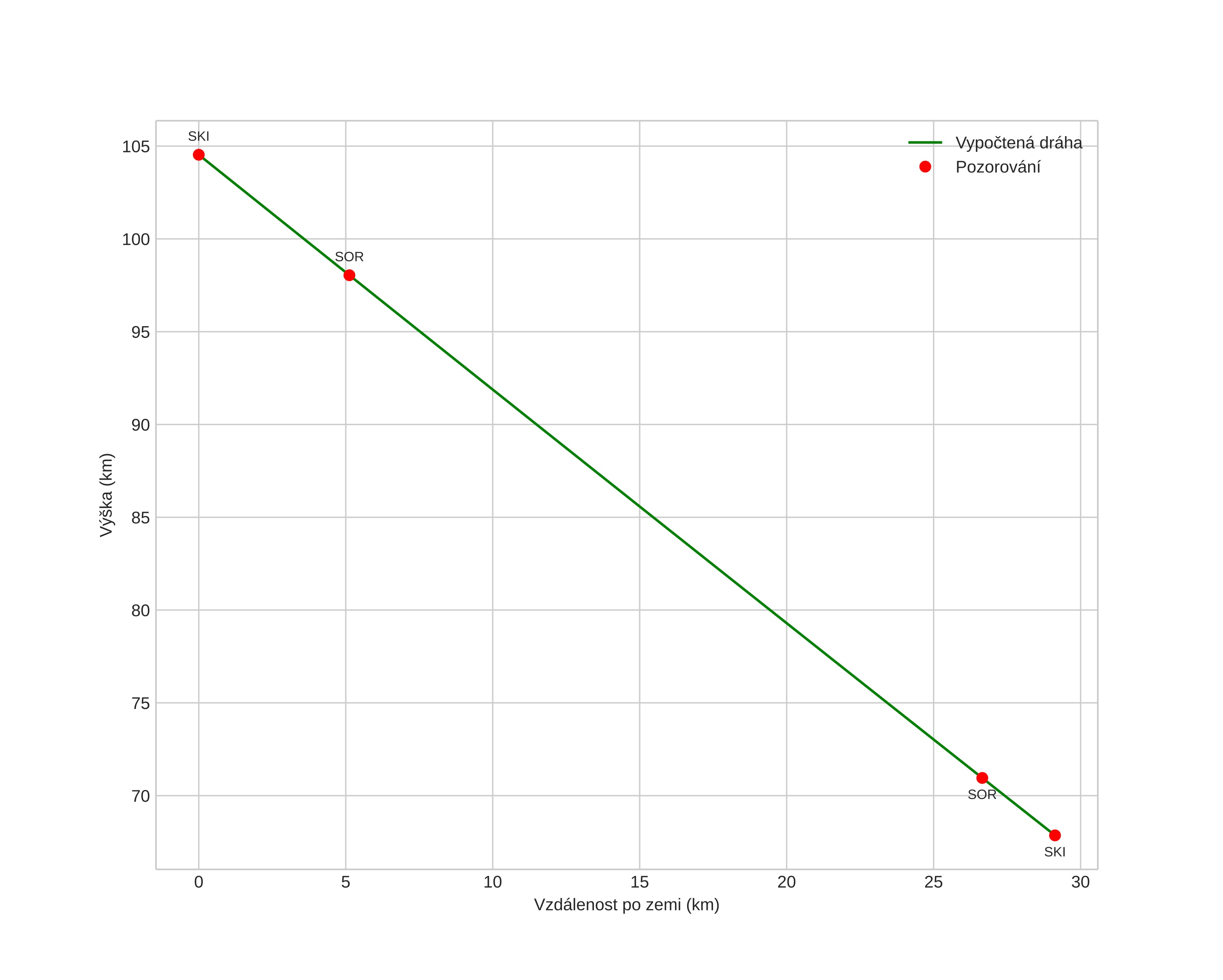
height profile
Atmosférická dráha meteoru:
Počáteční výška: 104,6 km
Konečná výška: 67,9 km
Počáteční poloha: 70,200N 24,025E
Konečná poloha: 70,415N 23,584E
Směr: 325,7°
Sklon: 51,6°
VstupnĂ­ rychlost: 44,7 km/s
Rektascenze radiantu: 07:01 (105,4°)
Deklinace radiantu: 33,7°
MeteorickĂ˝ roj: sporadickĂ˝
Elementy dráhy meteoroidu:
Vzdálenost v periheliu: 0,114 AU
Excentricita: 0,985
Sklon dráhy: 34,8°
Délka vzestupného uzlu: 257,3°
Argument perihelia: 321,5°
Střední anomálie: 358,5°
Epocha: 2023 DEC 09 22:33:42
orbit plot

NeinteraktivnĂ­ graf | InteraktivnĂ­ graf

position vs time
speed and acceleration