🇳🇴 🇬🇧 🇩🇪 🇨🇿 🇫🇮

Meteor, poloha: Storslett 2023-12-11 01:11:22 UTC

Soubor KML  |  InteraktivnĂ­ mapa

Mapa zobrazuje dráhy meteoru. Světlejší čáry ukazují směry od pozorovacích stanic při objevení se meteoru a tmavší čáry, kde byl naposledy viděn. Modrá šipka značí viditelnou dráhu meteoru.

static map
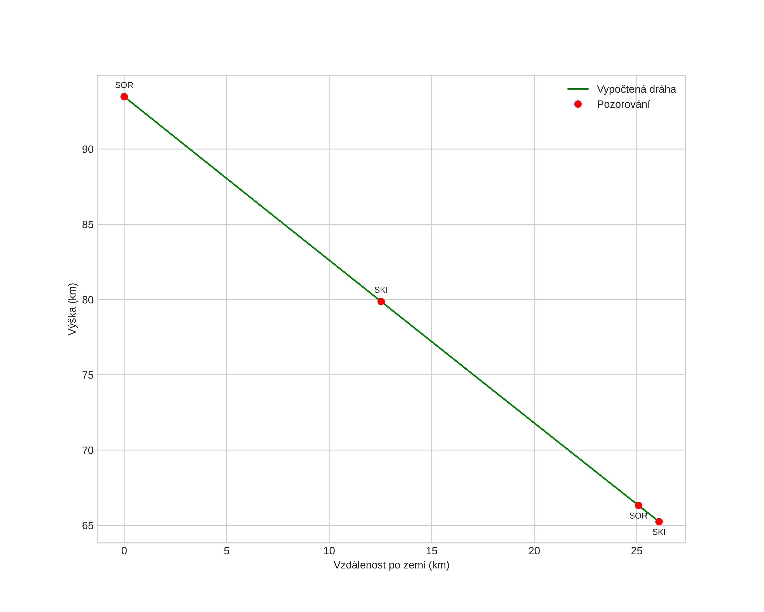
height profile
Atmosférická dráha meteoru:
Počáteční výška: 87,2 km
Konečná výška: 64,3 km
Počáteční poloha: 69,326N 20,748E
Konečná poloha: 69,509N 20,869E
Směr: 13,1°
Sklon: 47,7°
VstupnĂ­ rychlost: 44,3 km/s
Rektascenze radiantu: 07:09 (107,5°)
Deklinace radiantu: 26,7°
MeteorickĂ˝ roj: sporadickĂ˝
Elementy dráhy meteoroidu:
Vzdálenost v periheliu: 0,068 AU
Excentricita: 0,984
Sklon dráhy: 16,4°
Délka vzestupného uzlu: 258,4°
Argument perihelia: 331,3°
Střední anomálie: 356,4°
Epocha: 2023 DEC 11 01:11:22
orbit plot

NeinteraktivnĂ­ graf | InteraktivnĂ­ graf

position vs time
speed and acceleration