🇳🇴 🇬🇧 🇩🇪 🇨🇿 🇫🇮

Meteor, poloha: Kautokeino 2023-12-12 04:15:04 UTC

Eiscat – 4
Eiscat – 4
Skibotn – 1
Skibotn – 1
Skibotn – 2
Skibotn – 2

Soubor KML  | Interaktivní mapa

map

Mapa zobrazuje dráhy meteoru. Světlejší čáry ukazují směry od pozorovacích stanic při objevení se meteoru a tmavší čáry, kde byl naposledy viděn. Modrá šipka značí viditelnou dráhu meteoru.

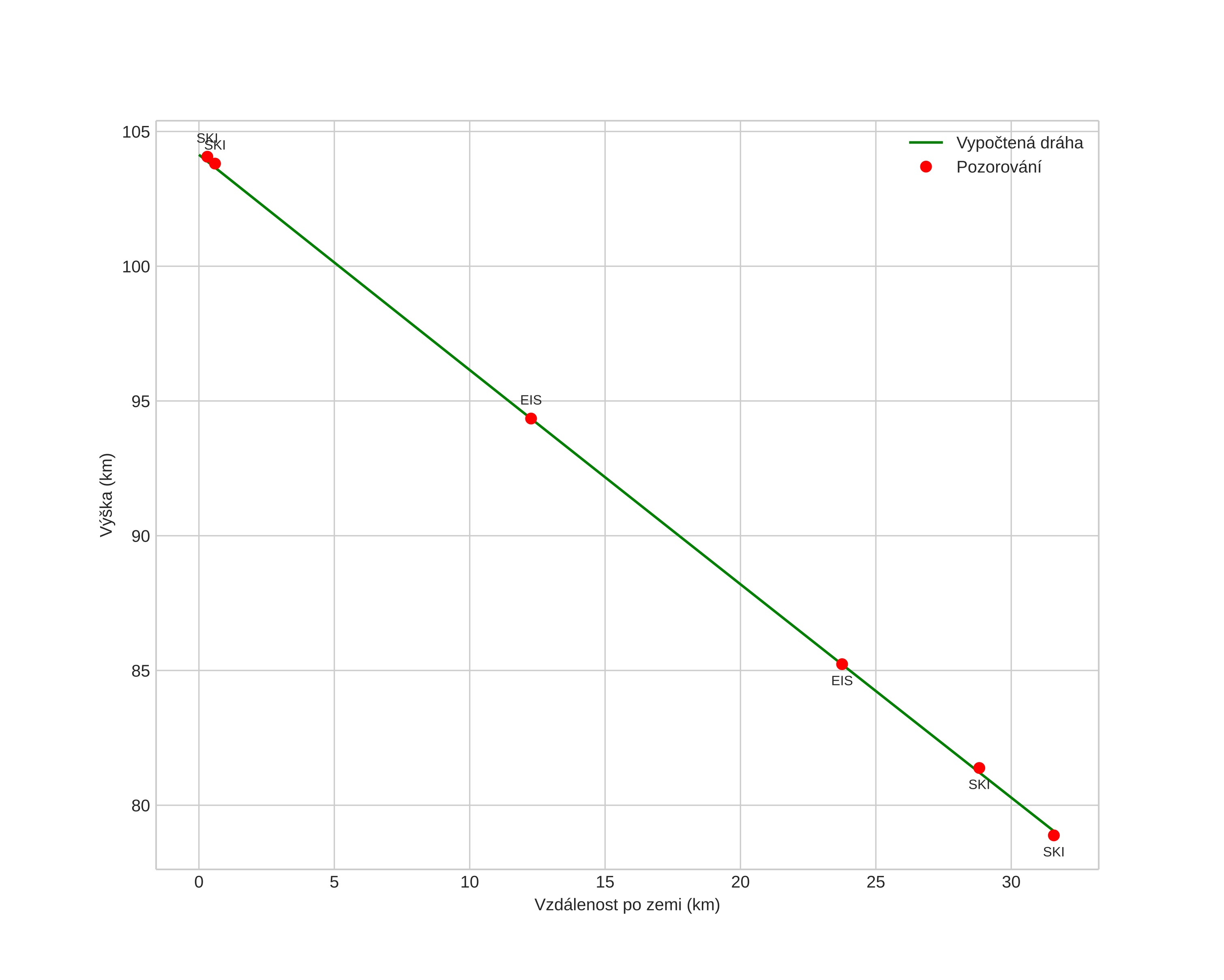
height profile
Atmosférická dráha meteoru:
Počáteční výška: 103,4 km
Konečná výška: 72,5 km
Počáteční poloha: 69,220N 22,362E
Konečná poloha: 69,318N 23,392E
Směr: 74,5°
Sklon: 36,4°
Vstupní rychlost: 38,0 km/s
Rektascenze radiantu: 06:54 (103,6°)
Deklinace radiantu: 27,3°
Meteorický roj: Geminidy
Elementy dráhy meteoroidu:
Vzdálenost v periheliu: 0,155 AU
Excentricita: 0,932
Sklon dráhy: 9,7°
Délka vzestupného uzlu: 259,5°
Argument perihelia: 318,3°
Střední anomálie: 349,9°
Epocha: 2023 DEC 12 04:15:04
orbit

Neinteraktivní graf | Interaktivní graf

position vs time
speed & acceleration