🇳🇴 🇬🇧 🇩🇪 🇨🇿 🇫🇮

Meteor, poloha: Namsos 2023-12-12 15:19:06 UTC

Soubor KML  |  InteraktivnĂ­ mapa

Mapa zobrazuje dráhy meteoru. Světlejší čáry ukazují směry od pozorovacích stanic při objevení se meteoru a tmavší čáry, kde byl naposledy viděn. Modrá šipka značí viditelnou dráhu meteoru.

static map
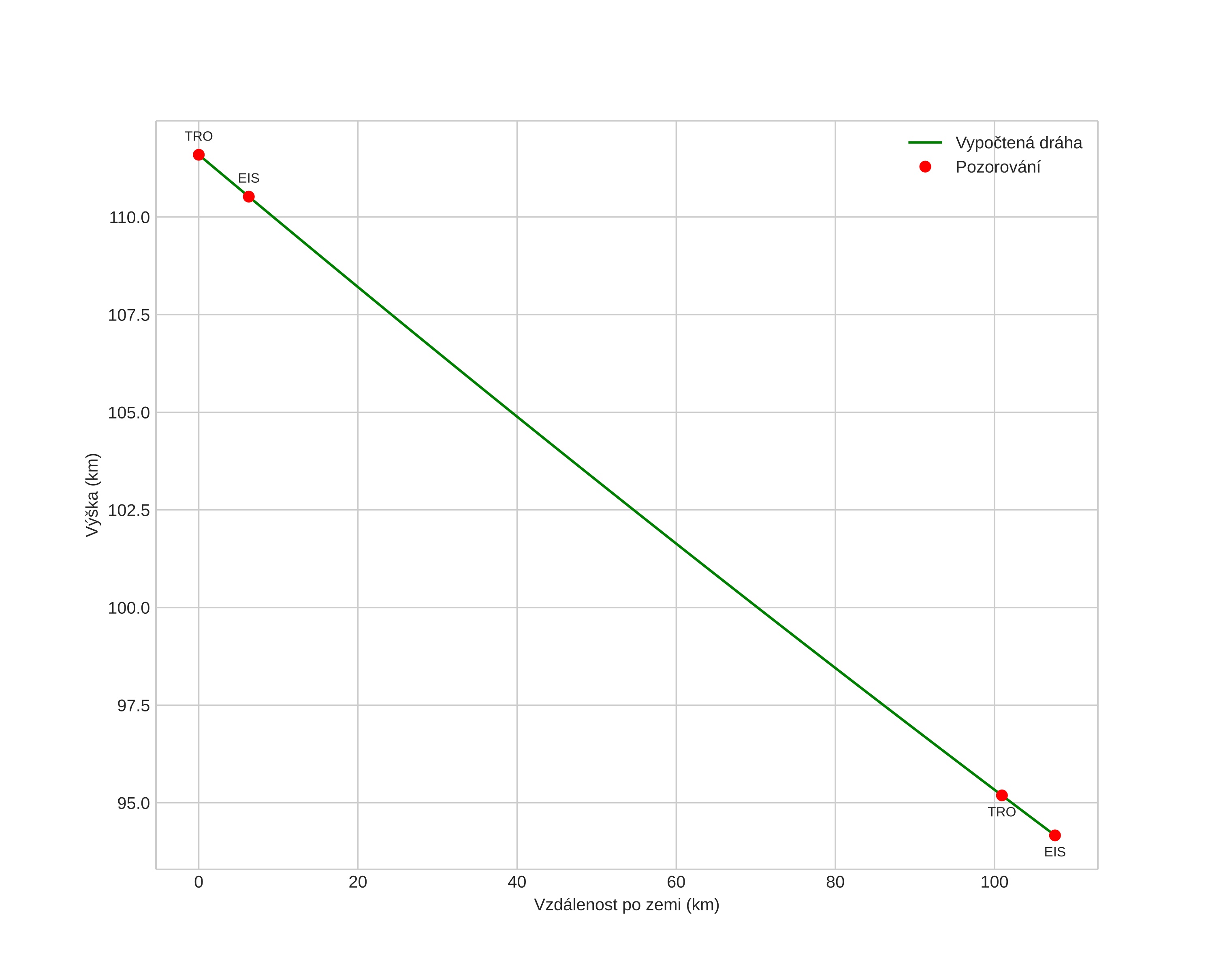
height profile
Atmosférická dráha meteoru:
Počáteční výška: 107,4 km
Konečná výška: 88,8 km
Počáteční poloha: 65,494N 11,024E
Konečná poloha: 64,564N 11,366E
Směr: 171,0°
Sklon: 10,1°
VstupnĂ­ rychlost: 67,2 km/s
Rektascenze radiantu: 10:09 (152,3°)
Deklinace radiantu: 33,7°
MeteorickĂ˝ roj: desember-leonis-minoridene
Elementy dráhy meteoroidu:
Vzdálenost v periheliu: 0,589 AU
Excentricita: 1,138
Sklon dráhy: 136,1°
Délka vzestupného uzlu: 260,0°
Argument perihelia: 255,8°
Střední anomálie: -3,9°
Epocha: 2023 DEC 12 15:19:06
orbit plot

NeinteraktivnĂ­ graf | InteraktivnĂ­ graf

position vs time
speed and acceleration