🇳🇴 🇬🇧 🇩🇪 🇨🇿 🇫🇮

Meteor, poloha: Røst 2023-12-12 15:41:22 UTC

Soubor KML  |  InteraktivnĂ­ mapa

Mapa zobrazuje dráhy meteoru. Světlejší čáry ukazují směry od pozorovacích stanic při objevení se meteoru a tmavší čáry, kde byl naposledy viděn. Modrá šipka značí viditelnou dráhu meteoru.

static map
height profile
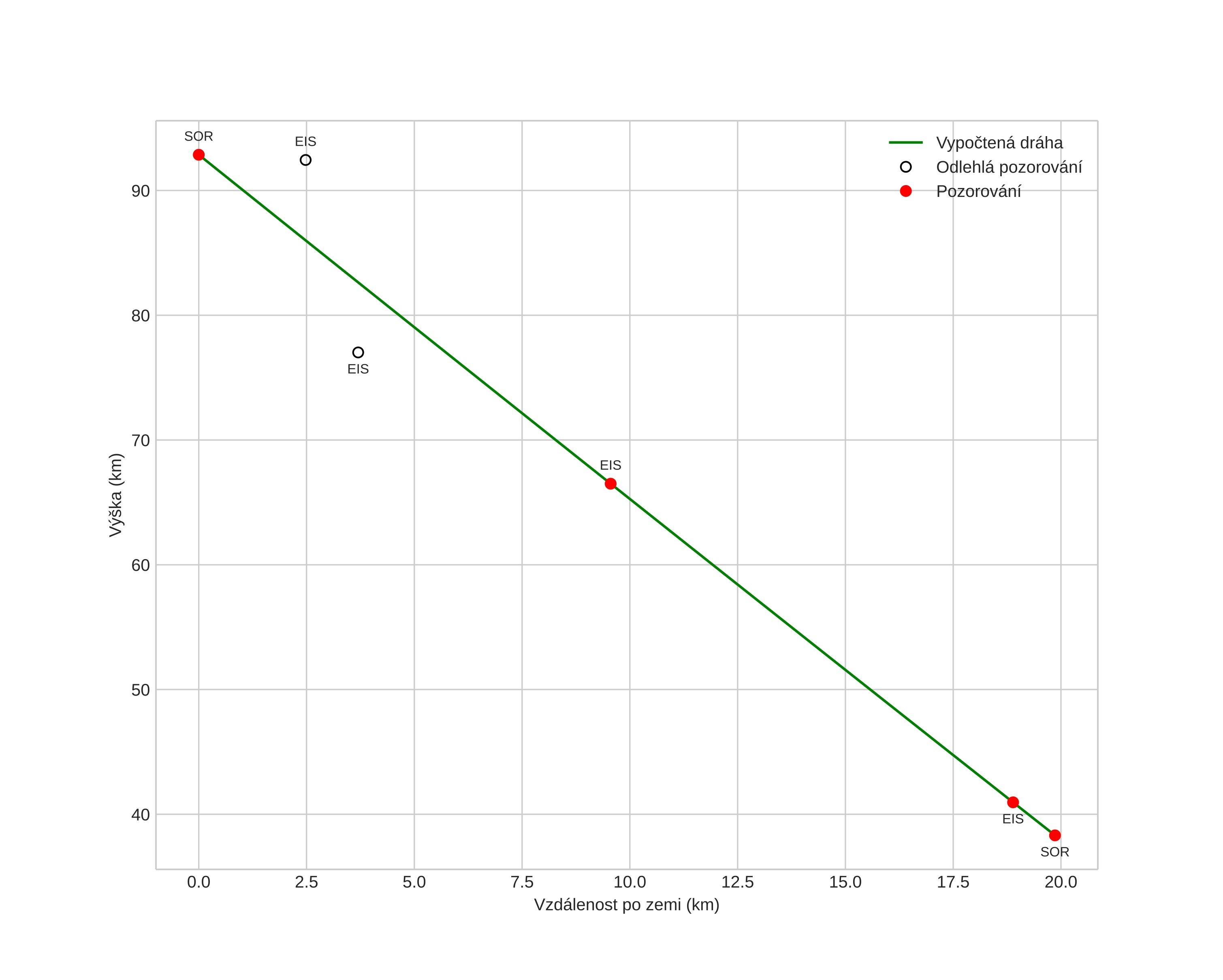
Atmosférická dráha meteoru:
Počáteční výška: 83,4 km
Konečná výška: 39,0 km
Počáteční poloha: 67,645N 10,935E
Konečná poloha: 67,598N 9,871E
Směr: 263,9°
Sklon: 44,4°
VstupnĂ­ rychlost: 23,2 km/s
Rektascenze radiantu: 02:53 (43,4°)
Deklinace radiantu: 40,0°
MeteorickĂ˝ roj: sporadickĂ˝
Elementy dráhy meteoroidu:
Vzdálenost v periheliu: 0,836 AU
Excentricita: 1,043
Sklon dráhy: 11,2°
Délka vzestupného uzlu: 260,0°
Argument perihelia: 225,2°
Střední anomálie: -0,3°
Epocha: 2023 DEC 12 15:41:22
orbit plot

NeinteraktivnĂ­ graf | InteraktivnĂ­ graf

position vs time
speed and acceleration