🇳🇴 🇬🇧 🇩🇪 🇨🇿 🇫🇮

Meteor, poloha: Moldjord 2023-12-12 17:41:48 UTC

Soubor KML  |  InteraktivnĂ­ mapa

Mapa zobrazuje dráhy meteoru. Světlejší čáry ukazují směry od pozorovacích stanic při objevení se meteoru a tmavší čáry, kde byl naposledy viděn. Modrá šipka značí viditelnou dráhu meteoru.

static map
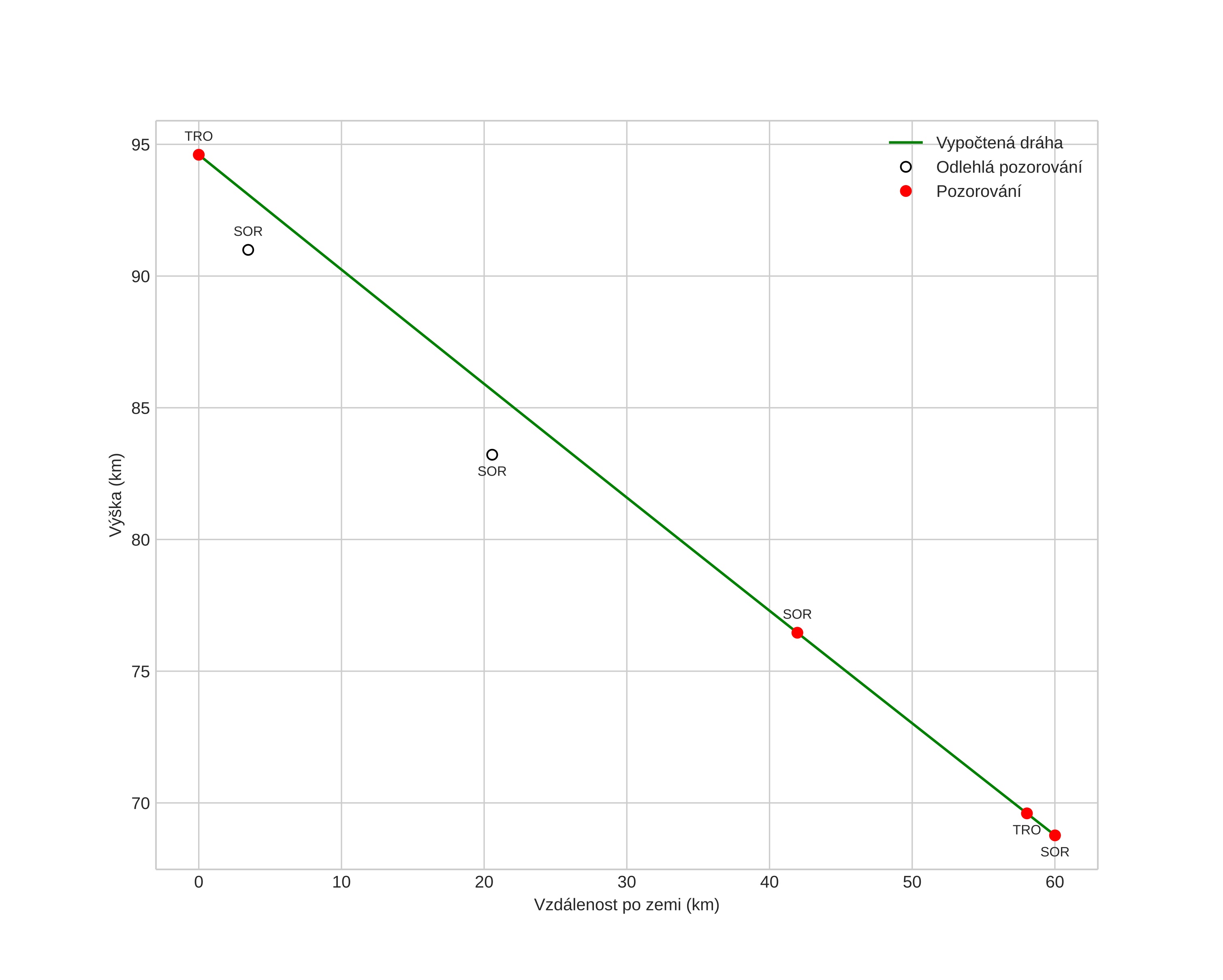
height profile
Atmosférická dráha meteoru:
Počáteční výška: 95,6 km
Konečná výška: 69,2 km
Počáteční poloha: 66,467N 16,343E
Konečná poloha: 66,522N 14,968E
Směr: 276,4°
Sklon: 23,3°
VstupnĂ­ rychlost: 27,1 km/s
Rektascenze radiantu: 05:13 (78,5°)
Deklinace radiantu: 15,7°
MeteorickĂ˝ roj: sporadickĂ˝
Elementy dráhy meteoroidu:
Vzdálenost v periheliu: 0,568 AU
Excentricita: 0,845
Sklon dráhy: 5,8°
Délka vzestupného uzlu: 80,1°
Argument perihelia: 85,7°
Střední anomálie: 354,2°
Epocha: 2023 DEC 12 17:41:48
orbit plot

NeinteraktivnĂ­ graf | InteraktivnĂ­ graf

position vs time
speed and acceleration