🇳🇴 🇬🇧 🇩🇪 🇨🇿 🇫🇮

Meteor, poloha: Burfjord 2023-12-12 20:40:28 UTC

Soubor KML  |  InteraktivnĂ­ mapa

Mapa zobrazuje dráhy meteoru. Světlejší čáry ukazují směry od pozorovacích stanic při objevení se meteoru a tmavší čáry, kde byl naposledy viděn. Modrá šipka značí viditelnou dráhu meteoru.

static map
height profile
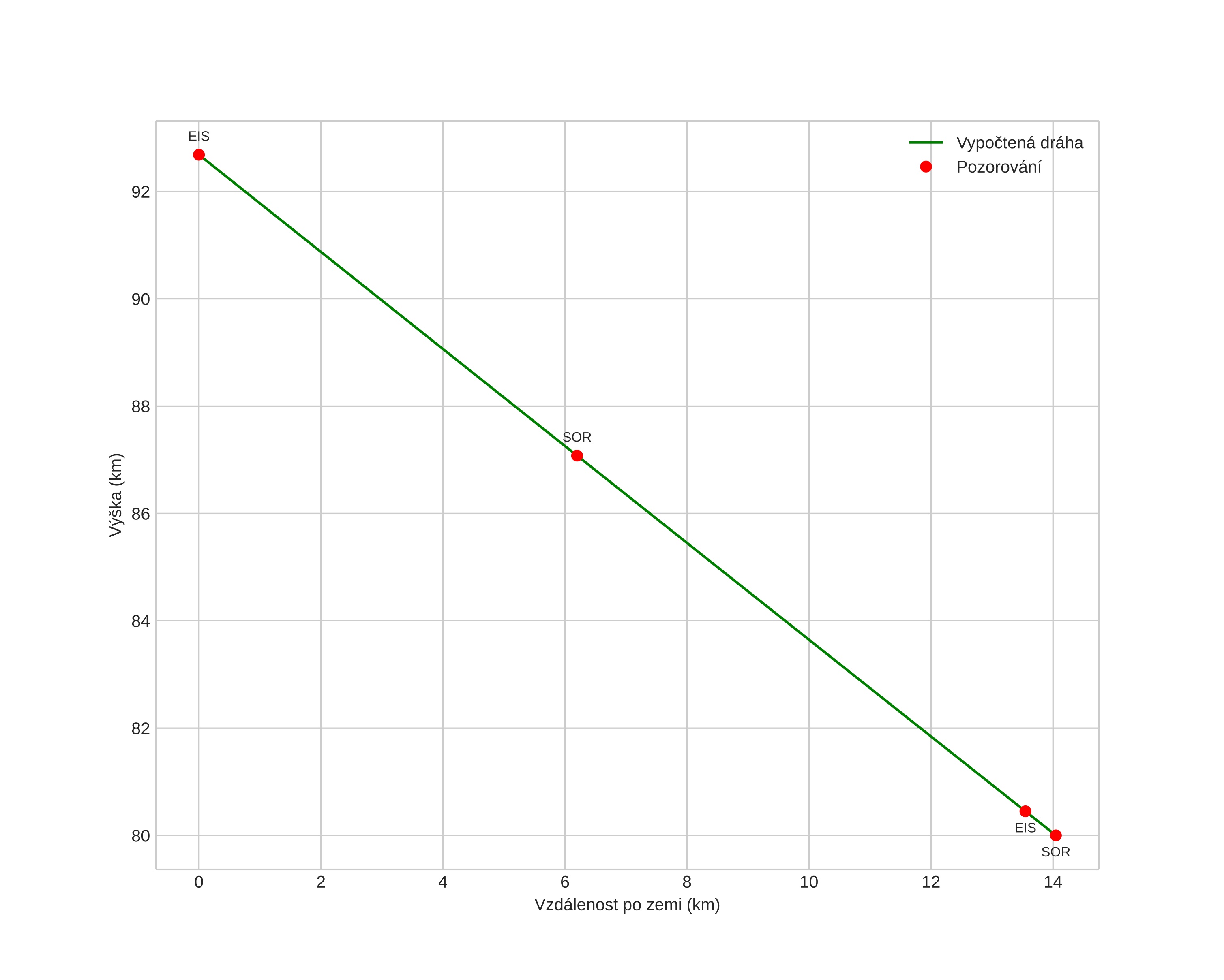
Atmosférická dráha meteoru:
Počáteční výška: 94,5 km
Konečná výška: 78,4 km
Počáteční poloha: 69,885N 22,505E
Konečná poloha: 69,949N 22,093E
Směr: 294,4°
Sklon: 43,0°
VstupnĂ­ rychlost: 29,6 km/s
Rektascenze radiantu: 07:04 (106,0°)
Deklinace radiantu: 30,8°
MeteorickĂ˝ roj: Geminidy
Elementy dráhy meteoroidu:
Vzdálenost v periheliu: 0,239 AU
Excentricita: 0,788
Sklon dráhy: 11,3°
Délka vzestupného uzlu: 260,2°
Argument perihelia: 315,9°
Střední anomálie: 323,9°
Epocha: 2023 DEC 12 20:40:28
orbit plot

NeinteraktivnĂ­ graf | InteraktivnĂ­ graf

position vs time
speed and acceleration