🇳🇴 🇬🇧 🇩🇪 🇨🇿 🇫🇮

Meteor, poloha: Tromsø 2023-12-12 21:02:09 UTC

Soubor KML  |  InteraktivnĂ­ mapa

Mapa zobrazuje dráhy meteoru. Světlejší čáry ukazují směry od pozorovacích stanic při objevení se meteoru a tmavší čáry, kde byl naposledy viděn. Modrá šipka značí viditelnou dráhu meteoru.

static map
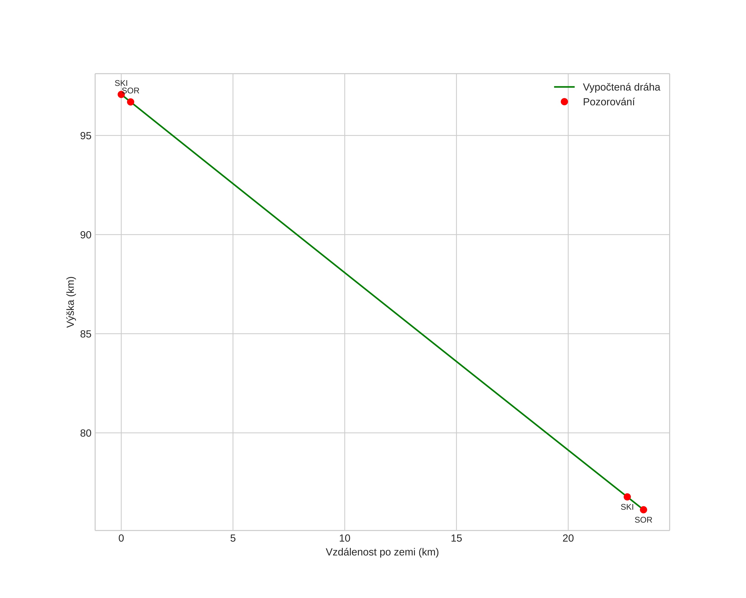
height profile
Atmosférická dráha meteoru:
Počáteční výška: 97,1 km
Konečná výška: 76,1 km
Počáteční poloha: 70,231N 18,747E
Konečná poloha: 70,308N 18,168E
Směr: 291,7°
Sklon: 41,9°
VstupnĂ­ rychlost: 36,1 km/s
Rektascenze radiantu: 07:21 (110,4°)
Deklinace radiantu: 31,4°
MeteorickĂ˝ roj: Geminidy
Elementy dráhy meteoroidu:
Vzdálenost v periheliu: 0,142 AU
Excentricita: 0,897
Sklon dráhy: 20,3°
Délka vzestupného uzlu: 260,2°
Argument perihelia: 324,0°
Střední anomálie: 337,4°
Epocha: 2023 DEC 12 21:02:09
orbit plot

NeinteraktivnĂ­ graf | InteraktivnĂ­ graf

position vs time
speed and acceleration