🇳🇴 🇬🇧 🇩🇪 🇨🇿 🇫🇮

Meteor, poloha: Straume 2023-12-12 21:17:51 UTC

Soubor KML  |  InteraktivnĂ­ mapa

Mapa zobrazuje dráhy meteoru. Světlejší čáry ukazují směry od pozorovacích stanic při objevení se meteoru a tmavší čáry, kde byl naposledy viděn. Modrá šipka značí viditelnou dráhu meteoru.

static map
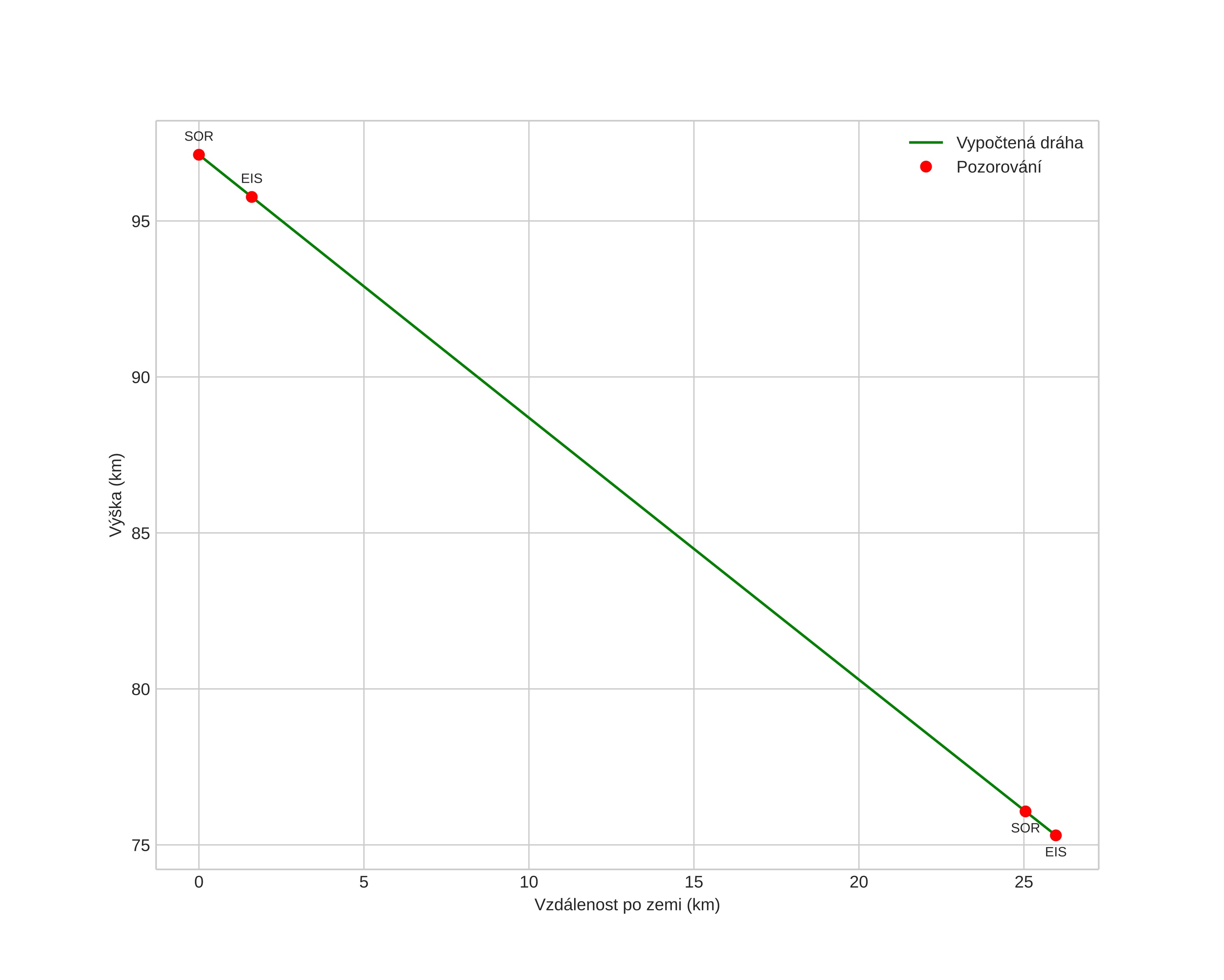
height profile
Atmosférická dráha meteoru:
Počáteční výška: 97,1 km
Konečná výška: 71,1 km
Počáteční poloha: 68,580N 15,263E
Konečná poloha: 68,658N 14,529E
Směr: 286,5°
Sklon: 40,0°
VstupnĂ­ rychlost: 37,9 km/s
Rektascenze radiantu: 07:40 (115,2°)
Deklinace radiantu: 30,3°
MeteorickĂ˝ roj: Geminidy
Elementy dráhy meteoroidu:
Vzdálenost v periheliu: 0,093 AU
Excentricita: 0,926
Sklon dráhy: 25,5°
Délka vzestupného uzlu: 260,2°
Argument perihelia: 331,9°
Střední anomálie: 335,4°
Epocha: 2023 DEC 12 21:17:51
orbit plot

NeinteraktivnĂ­ graf | InteraktivnĂ­ graf

position vs time
speed and acceleration