🇳🇴 🇬🇧 🇩🇪 🇨🇿 🇫🇮

Meteor, poloha: Fedje 2023-12-13 01:31:05 UTC

Soubor KML  |  InteraktivnĂ­ mapa

Mapa zobrazuje dráhy meteoru. Světlejší čáry ukazují směry od pozorovacích stanic při objevení se meteoru a tmavší čáry, kde byl naposledy viděn. Modrá šipka značí viditelnou dráhu meteoru.

static map
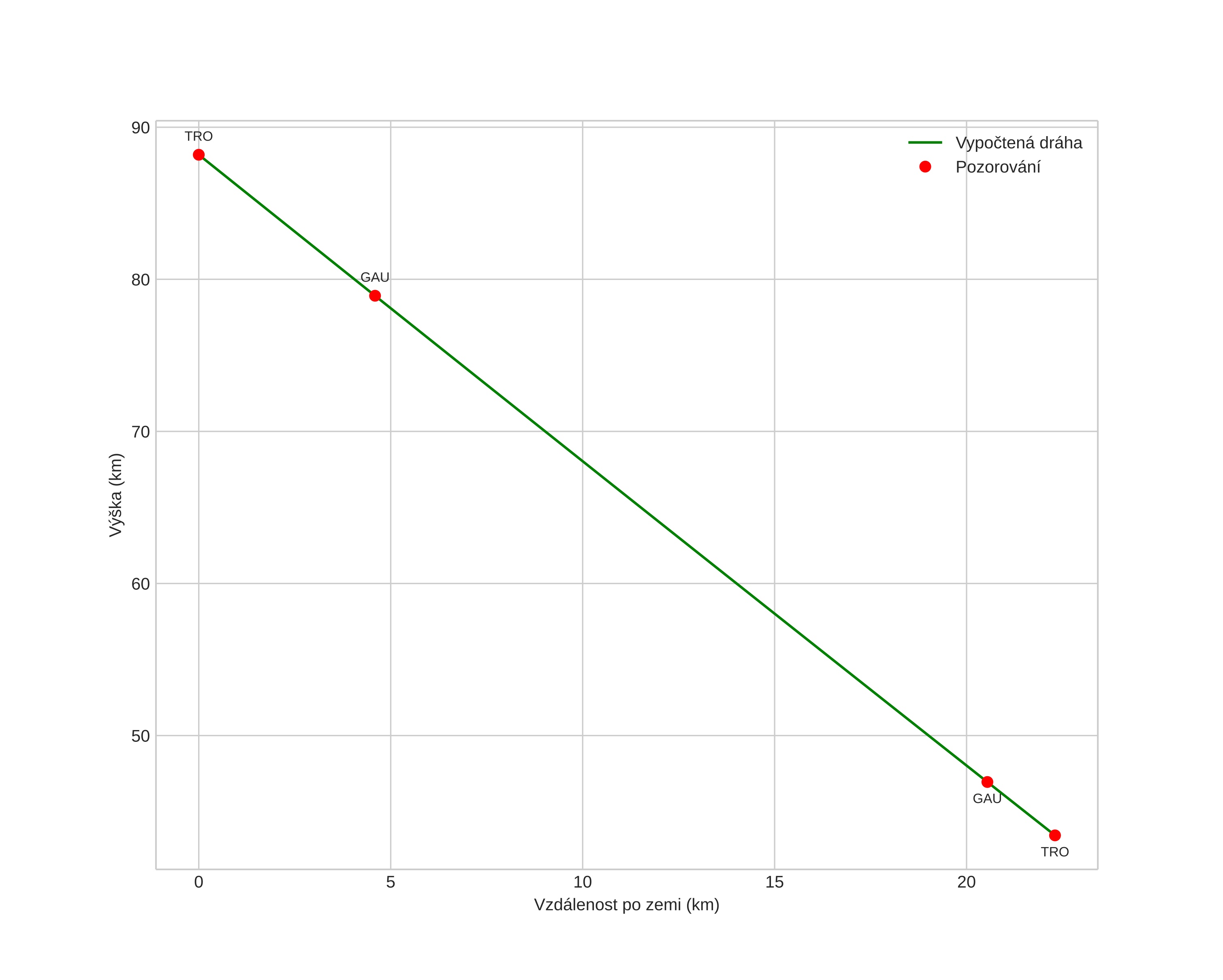
height profile
Atmosférická dráha meteoru:
Počáteční výška: 86,4 km
Konečná výška: 44,3 km
Počáteční poloha: 60,066N 4,401E
Konečná poloha: 60,254N 4,357E
Směr: 353,4°
Sklon: 63,4°
VstupnĂ­ rychlost: 35,5 km/s
Rektascenze radiantu: 07:25 (111,3°)
Deklinace radiantu: 32,9°
MeteorickĂ˝ roj: Geminidy
Elementy dráhy meteoroidu:
Vzdálenost v periheliu: 0,151 AU
Excentricita: 0,886
Sklon dráhy: 23,0°
Délka vzestupného uzlu: 260,4°
Argument perihelia: 323,4°
Střední anomálie: 335,5°
Epocha: 2023 DEC 13 01:31:05
orbit plot

NeinteraktivnĂ­ graf | InteraktivnĂ­ graf

position vs time
speed and acceleration