🇳🇴 🇬🇧 🇩🇪 🇨🇿 🇫🇮

Meteor, poloha: Andenes 2023-12-13 02:34:21 UTC

Soubor KML  |  InteraktivnĂ­ mapa

Mapa zobrazuje dráhy meteoru. Světlejší čáry ukazují směry od pozorovacích stanic při objevení se meteoru a tmavší čáry, kde byl naposledy viděn. Modrá šipka značí viditelnou dráhu meteoru.

static map
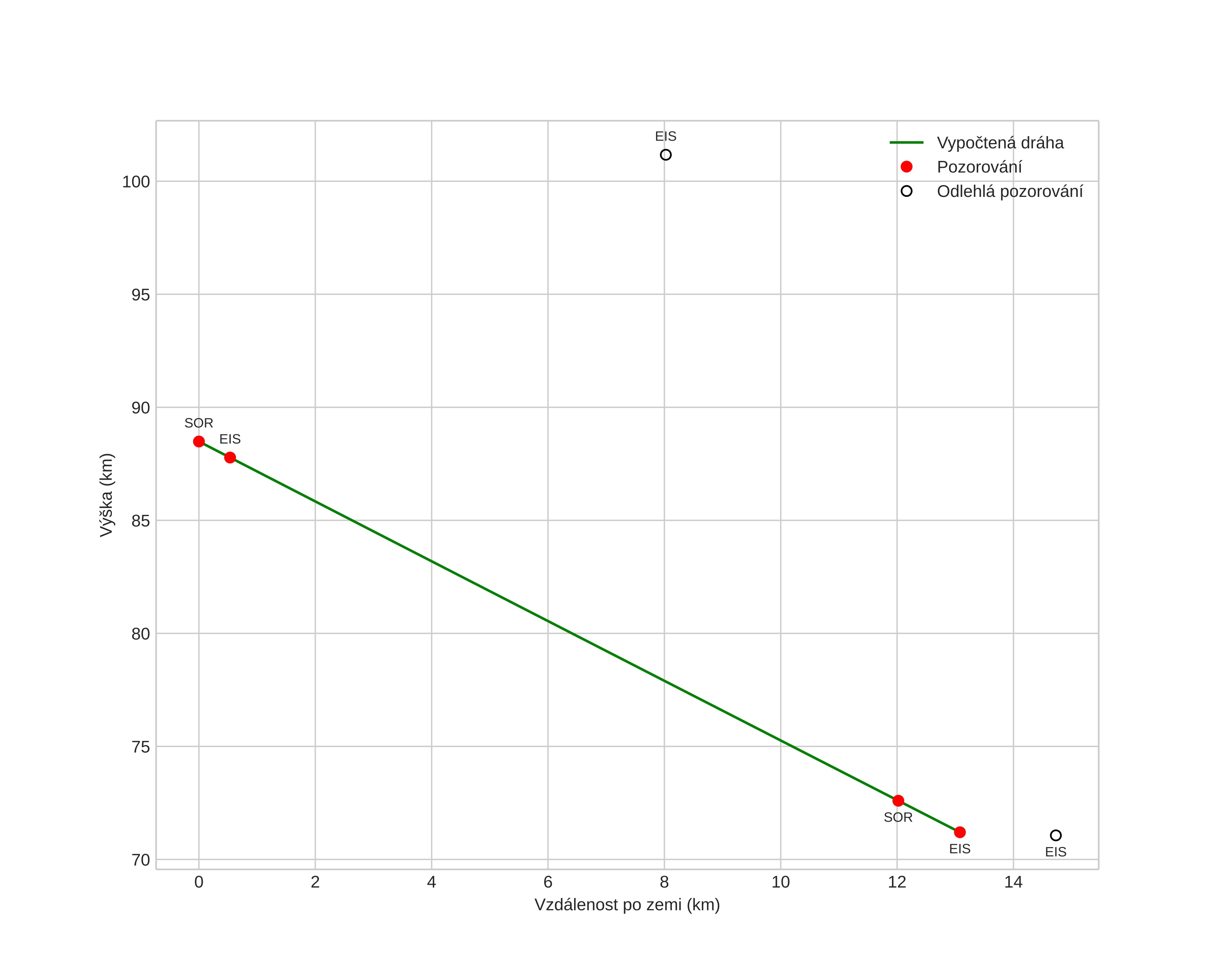
height profile
Atmosférická dráha meteoru:
Počáteční výška: 96,6 km
Konečná výška: 72,7 km
Počáteční poloha: 71,017N 15,834E
Konečná poloha: 71,291N 15,956E
Směr: 8,2°
Sklon: 37,8°
VstupnĂ­ rychlost: 36,8 km/s
Rektascenze radiantu: 08:33 (128,4°)
Deklinace radiantu: 17,7°
MeteorickĂ˝ roj: sporadickĂ˝
Elementy dráhy meteoroidu:
Vzdálenost v periheliu: 0,015 AU
Excentricita: 0,981
Sklon dráhy: 7,2°
Délka vzestupného uzlu: 80,5°
Argument perihelia: 171,7°
Střední anomálie: 305,9°
Epocha: 2023 DEC 13 02:34:21
orbit plot

NeinteraktivnĂ­ graf | InteraktivnĂ­ graf

position vs time
speed and acceleration