🇳🇴 🇬🇧 🇩🇪 🇨🇿 🇫🇮

Meteor, poloha: Setermoen 2023-12-13 05:17:10 UTC

Soubor KML  |  InteraktivnĂ­ mapa

Mapa zobrazuje dráhy meteoru. Světlejší čáry ukazují směry od pozorovacích stanic při objevení se meteoru a tmavší čáry, kde byl naposledy viděn. Modrá šipka značí viditelnou dráhu meteoru.

static map
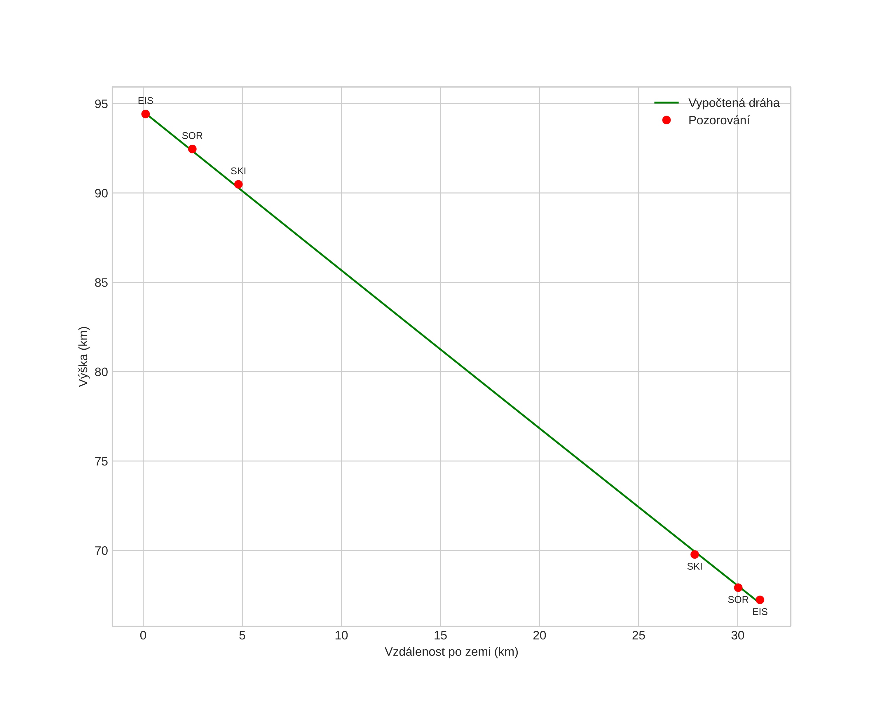
height profile
Atmosférická dráha meteoru:
Počáteční výška: 94,6 km
Konečná výška: 67,1 km
Počáteční poloha: 68,113N 17,506E
Konečná poloha: 68,167N 18,241E
Směr: 78,4°
Sklon: 41,6°
VstupnĂ­ rychlost: 35,5 km/s
Rektascenze radiantu: 07:40 (115,0°)
Deklinace radiantu: 32,7°
MeteorickĂ˝ roj: Geminidy
Elementy dráhy meteoroidu:
Vzdálenost v periheliu: 0,127 AU
Excentricita: 0,892
Sklon dráhy: 26,1°
Délka vzestupného uzlu: 260,6°
Argument perihelia: 328,0°
Střední anomálie: 330,8°
Epocha: 2023 DEC 13 05:17:10
orbit plot

NeinteraktivnĂ­ graf | InteraktivnĂ­ graf

position vs time
speed and acceleration