🇳🇴 🇬🇧 🇩🇪 🇨🇿 🇫🇮

Meteor, poloha: Røst 2023-12-13 18:20:39 UTC

Soubor KML  |  InteraktivnĂ­ mapa

Mapa zobrazuje dráhy meteoru. Světlejší čáry ukazují směry od pozorovacích stanic při objevení se meteoru a tmavší čáry, kde byl naposledy viděn. Modrá šipka značí viditelnou dráhu meteoru.

static map
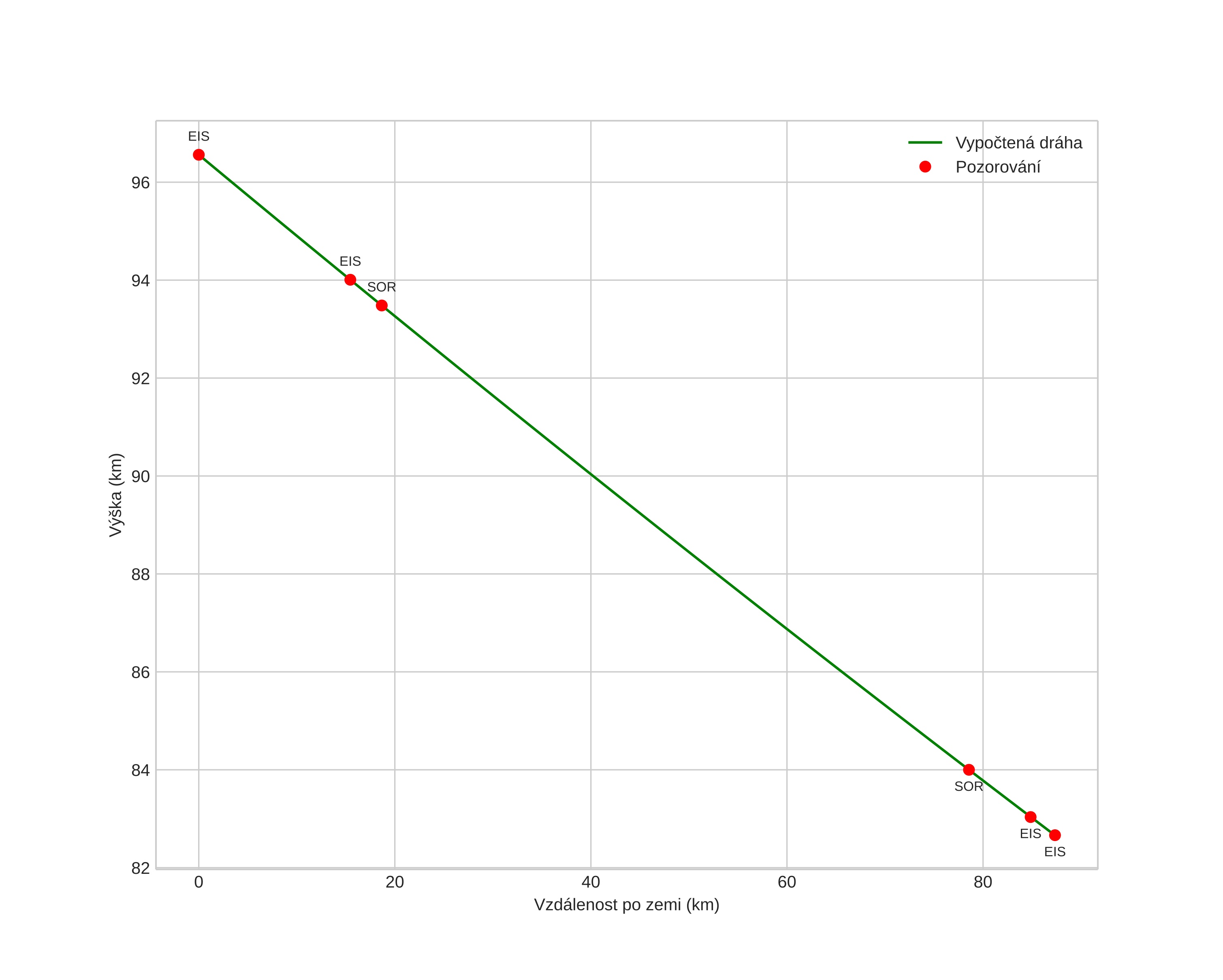
height profile
Atmosférická dráha meteoru:
Počáteční výška: 95,3 km
Konečná výška: 82,5 km
Počáteční poloha: 68,337N 9,528E
Konečná poloha: 68,018N 7,822E
Směr: 244,2°
Sklon: 9,2°
VstupnĂ­ rychlost: 63,6 km/s
Rektascenze radiantu: 07:51 (117,8°)
Deklinace radiantu: 17,3°
MeteorickĂ˝ roj: sporadickĂ˝
Elementy dráhy meteoroidu:
Vzdálenost v periheliu: 0,026 AU
Excentricita: 1,025
Sklon dráhy: 145,6°
Délka vzestupného uzlu: 81,1°
Argument perihelia: 157,3°
Střední anomálie: -22,7°
Epocha: 2023 DEC 13 18:20:39
orbit plot

NeinteraktivnĂ­ graf | InteraktivnĂ­ graf

position vs time
speed and acceleration