🇳🇴 🇬🇧 🇩🇪 🇨🇿 🇫🇮

Meteor, poloha: Hoverberg 2023-12-13 20:41:15 UTC

Soubor KML  |  InteraktivnĂ­ mapa

Mapa zobrazuje dráhy meteoru. Světlejší čáry ukazují směry od pozorovacích stanic při objevení se meteoru a tmavší čáry, kde byl naposledy viděn. Modrá šipka značí viditelnou dráhu meteoru.

static map
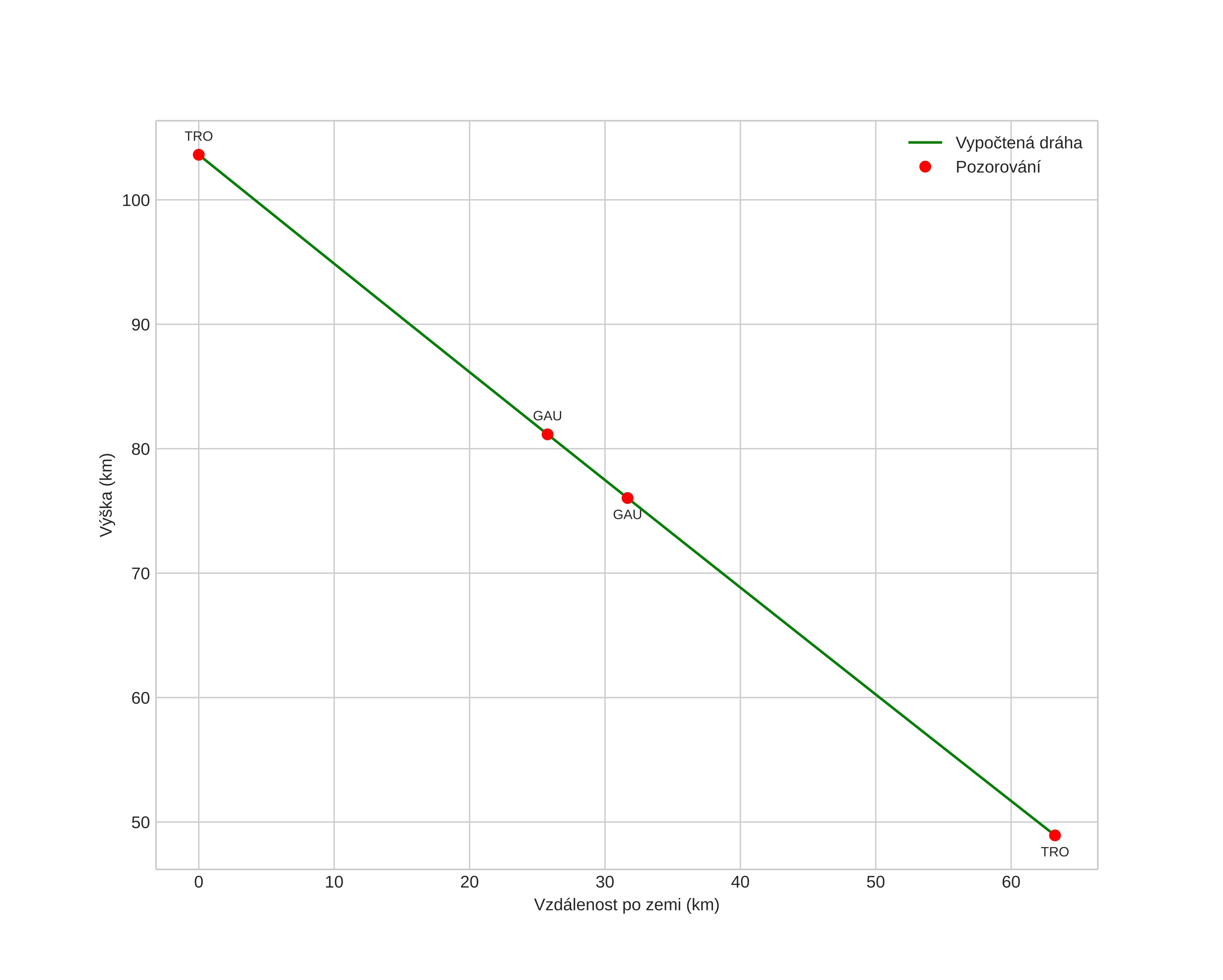
height profile
Atmosférická dráha meteoru:
Počáteční výška: 104,7 km
Konečná výška: 49,4 km
Počáteční poloha: 62,568N 15,136E
Konečná poloha: 62,606N 13,893E
Směr: 274,3°
Sklon: 40,9°
VstupnĂ­ rychlost: 36,7 km/s
Rektascenze radiantu: 07:31 (112,8°)
Deklinace radiantu: 32,9°
MeteorickĂ˝ roj: Geminidy
Elementy dráhy meteoroidu:
Vzdálenost v periheliu: 0,140 AU
Excentricita: 0,899
Sklon dráhy: 25,0°
Délka vzestupného uzlu: 261,2°
Argument perihelia: 324,2°
Střední anomálie: 337,8°
Epocha: 2023 DEC 13 20:41:15
orbit plot

NeinteraktivnĂ­ graf | InteraktivnĂ­ graf

position vs time
speed and acceleration