🇳🇴 🇬🇧 🇩🇪 🇨🇿 🇫🇮

Meteor, poloha: Setermoen 2023-12-13 21:30:47 UTC

Soubor KML  |  InteraktivnĂ­ mapa

Mapa zobrazuje dráhy meteoru. Světlejší čáry ukazují směry od pozorovacích stanic při objevení se meteoru a tmavší čáry, kde byl naposledy viděn. Modrá šipka značí viditelnou dráhu meteoru.

static map
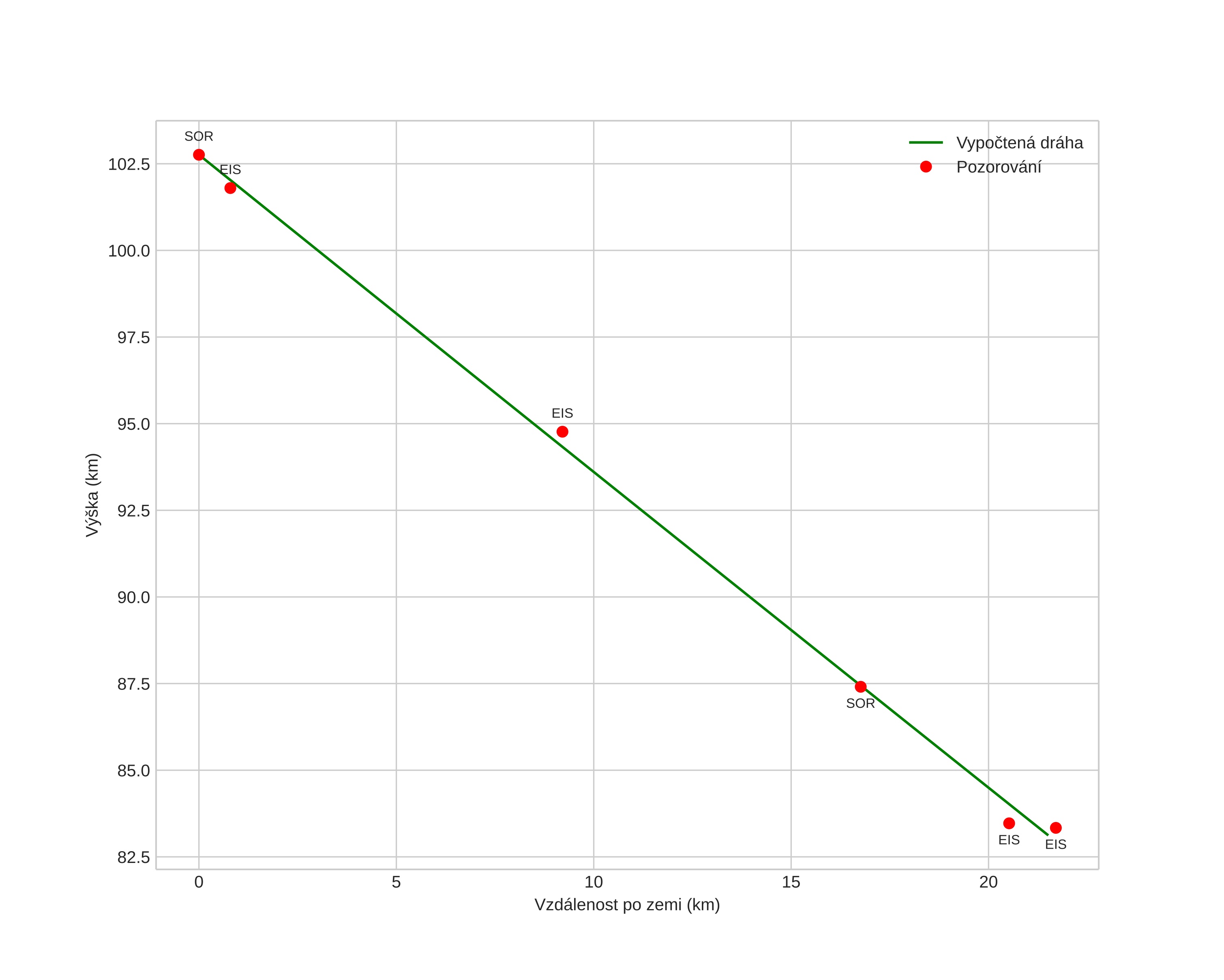
height profile
Atmosférická dráha meteoru:
Počáteční výška: 102,0 km
Konečná výška: 82,1 km
Počáteční poloha: 68,390N 18,704E
Konečná poloha: 68,452N 18,206E
Směr: 288,9°
Sklon: 42,8°
VstupnĂ­ rychlost: 34,0 km/s
Rektascenze radiantu: 07:57 (119,5°)
Deklinace radiantu: 31,8°
MeteorickĂ˝ roj: Geminidy
Elementy dráhy meteoroidu:
Vzdálenost v periheliu: 0,115 AU
Excentricita: 0,881
Sklon dráhy: 25,5°
Délka vzestupného uzlu: 261,3°
Argument perihelia: 332,2°
Střední anomálie: 319,5°
Epocha: 2023 DEC 13 21:30:47
orbit plot

NeinteraktivnĂ­ graf | InteraktivnĂ­ graf

position vs time
speed and acceleration