🇳🇴 🇬🇧 🇩🇪 🇨🇿 🇫🇮

Meteor, poloha: Hansnes 2023-12-13 22:02:58 UTC

Soubor KML  |  InteraktivnĂ­ mapa

Mapa zobrazuje dráhy meteoru. Světlejší čáry ukazují směry od pozorovacích stanic při objevení se meteoru a tmavší čáry, kde byl naposledy viděn. Modrá šipka značí viditelnou dráhu meteoru.

static map
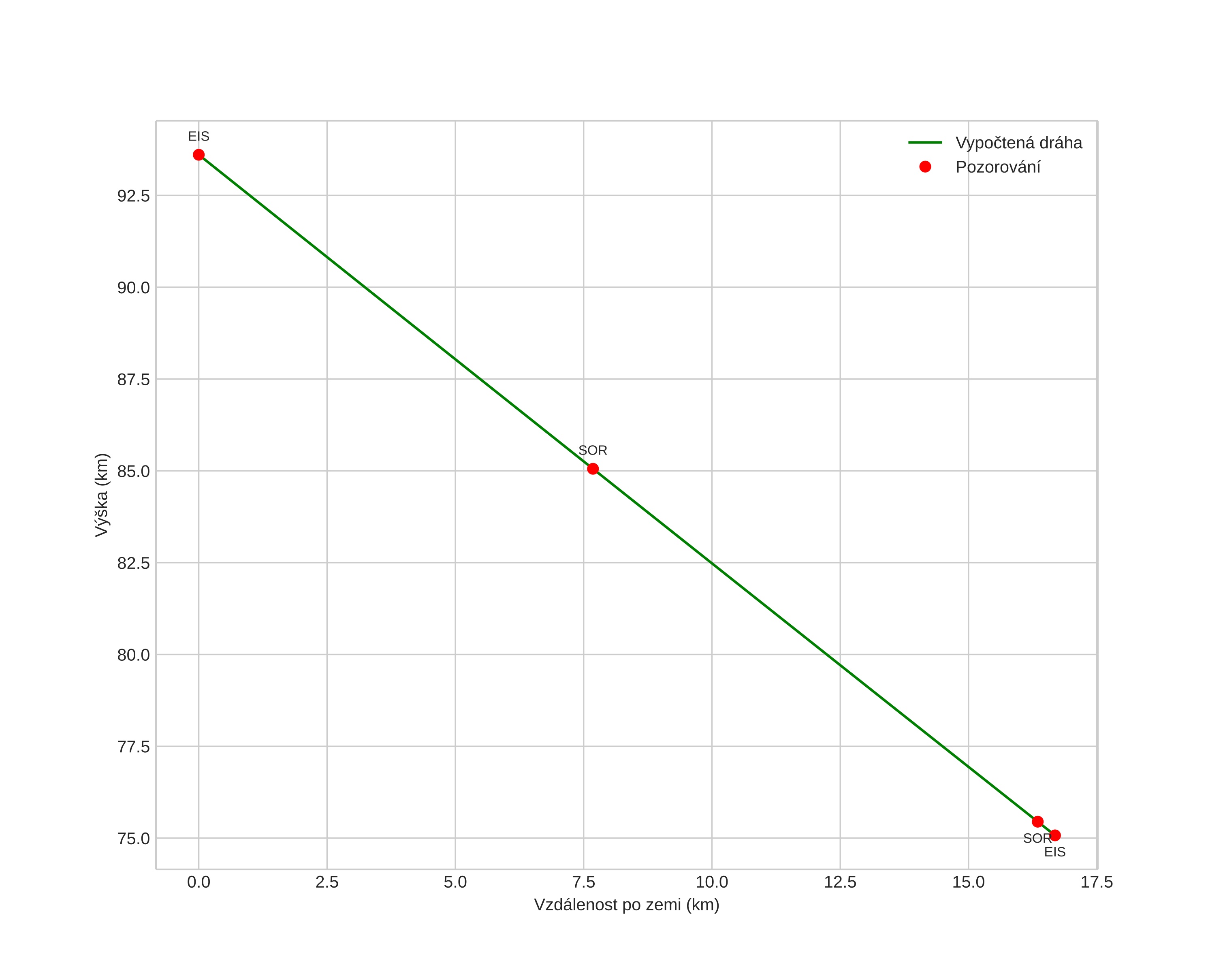
height profile
Atmosférická dráha meteoru:
Počáteční výška: 93,1 km
Konečná výška: 75,0 km
Počáteční poloha: 70,132N 20,438E
Konečná poloha: 70,225N 20,088E
Směr: 308,3°
Sklon: 47,2°
VstupnĂ­ rychlost: 36,2 km/s
Rektascenze radiantu: 07:30 (112,7°)
Deklinace radiantu: 32,1°
MeteorickĂ˝ roj: Geminidy
Elementy dráhy meteoroidu:
Vzdálenost v periheliu: 0,140 AU
Excentricita: 0,896
Sklon dráhy: 23,1°
Délka vzestupného uzlu: 261,3°
Argument perihelia: 324,6°
Střední anomálie: 336,5°
Epocha: 2023 DEC 13 22:02:58
orbit plot

NeinteraktivnĂ­ graf | InteraktivnĂ­ graf

position vs time
speed and acceleration