🇳🇴 🇬🇧 🇩🇪 🇨🇿 🇫🇮

Meteor, poloha: Sistranda 2023-12-14 03:06:26 UTC

Soubor KML  |  InteraktivnĂ­ mapa

Mapa zobrazuje dráhy meteoru. Světlejší čáry ukazují směry od pozorovacích stanic při objevení se meteoru a tmavší čáry, kde byl naposledy viděn. Modrá šipka značí viditelnou dráhu meteoru.

static map
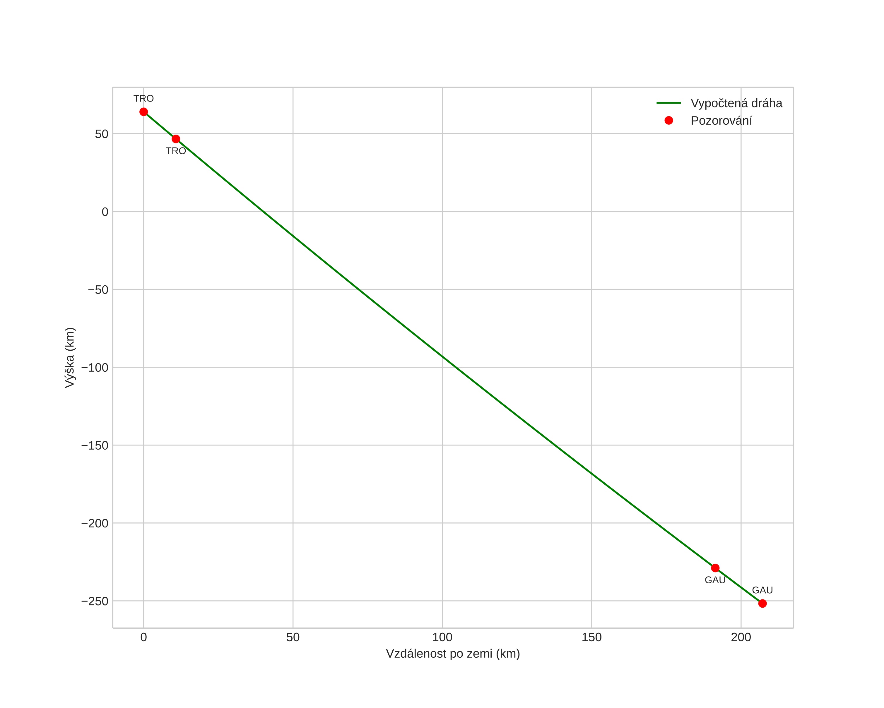
height profile
Atmosférická dráha meteoru:
Počáteční výška: 64,0 km
Konečná výška: -261,0 km
Počáteční poloha: 63,302N 6,886E
Konečná poloha: 64,970N 9,176E
Směr: 29,9°
Sklon: 56,4°
VstupnĂ­ rychlost: 25,6 km/s
Rektascenze radiantu: 07:42 (115,6°)
Deklinace radiantu: 30,0°
MeteorickĂ˝ roj: sporadickĂ˝
Elementy dráhy meteoroidu:
Vzdálenost v periheliu: 0,225 AU
Excentricita: 0,733
Sklon dráhy: 10,5°
Délka vzestupného uzlu: 261,5°
Argument perihelia: 325,4°
Střední anomálie: 297,9°
Epocha: 2023 DEC 14 03:06:26
orbit plot

NeinteraktivnĂ­ graf | InteraktivnĂ­ graf

position vs time
speed and acceleration