🇳🇴 🇬🇧 🇩🇪 🇨🇿 🇫🇮

Meteor Bismon yllä 2023-12-14 03:41:12 UTC

KML-tiedosto  |  Interaktiivinen kartta

Kartta näyttää meteorin suuntahavainnot. Vaaleammat viivat näyttävät suunnat havaintoasemilta meteorin ilmestyessä, ja tummemmat viivat näyttävät, missä se viimeksi nähtiin. Sininen nuoli näyttää meteorin näkyvän lennon.

static map
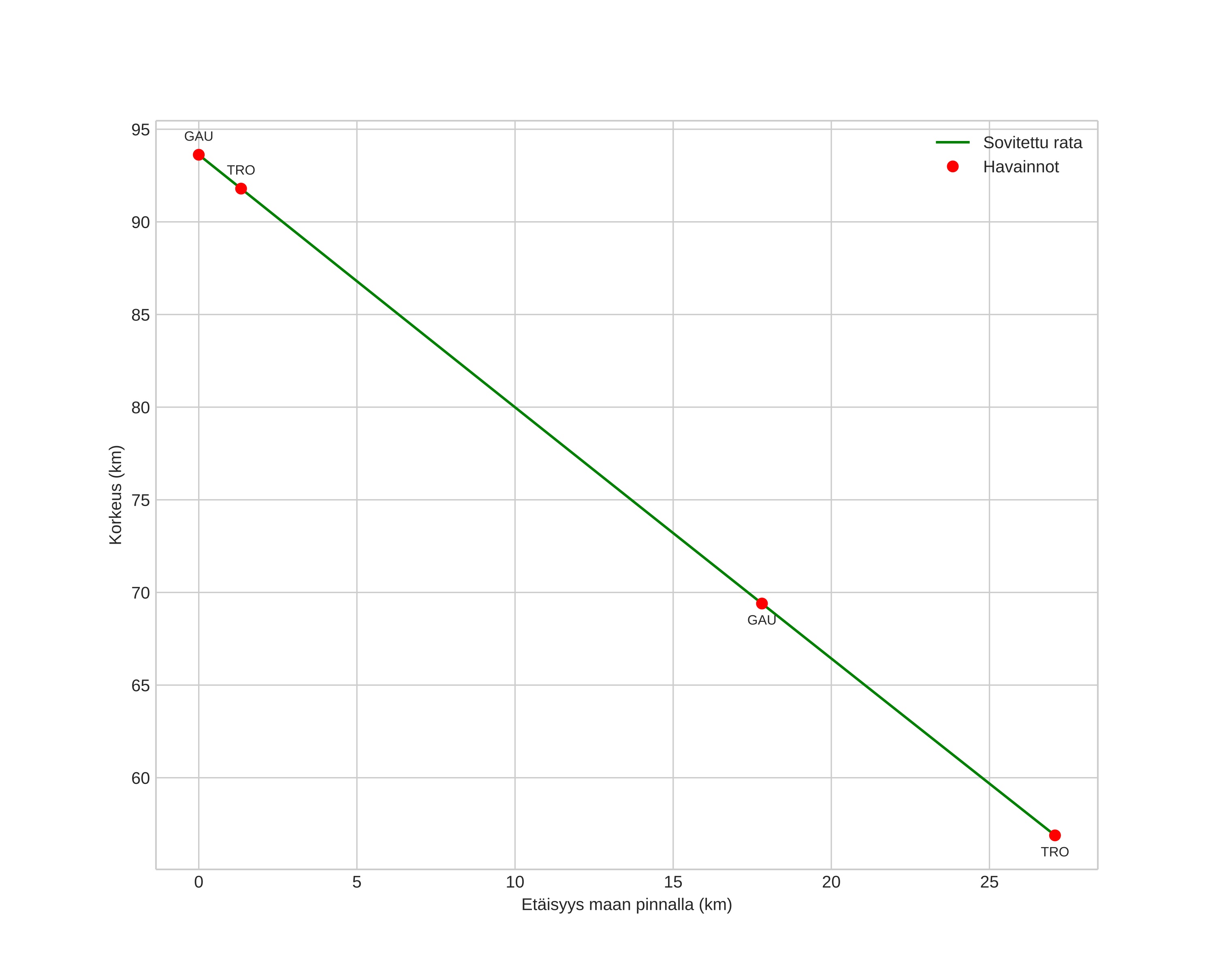
height profile
Meteorin ilmakehärata:
Alkukorkeus: 95,1 km
Loppukorkeus: 57,8 km
Alkupiste: 61,758N 7,909E
Loppupiste: 61,916N 8,288E
Suunta: 48,5°
Kallistuskulma: 54,6°
Tulonopeus: 37,3 km/s
Radiantin R,A,: 07:34 (113,7°)
Radiantin Dekl,: 31,5°
Meteoriparvi: Geminidit
Meteoroidin rataelementit:
Perihelietäisyys: 0,122 AU
Eksentrisyys: 0,914
Inklinaatio: 24,4°
Nousevan solmun pituus: 261,5°
Perihelin argumentti: 326,6°
Keskianomalia: 338,8°
Epookki: 2023 DEC 14 03:41:12
orbit plot

Ei-interaktiivinen kuvaaja | Interaktiivinen kuvaaja

position vs time
speed and acceleration