🇳🇴 🇬🇧 🇩🇪 🇨🇿 🇫🇮

Meteor, poloha: Aurlandsvangen 2023-12-14 04:31:43 UTC

Soubor KML  |  InteraktivnĂ­ mapa

Mapa zobrazuje dráhy meteoru. Světlejší čáry ukazují směry od pozorovacích stanic při objevení se meteoru a tmavší čáry, kde byl naposledy viděn. Modrá šipka značí viditelnou dráhu meteoru.

static map
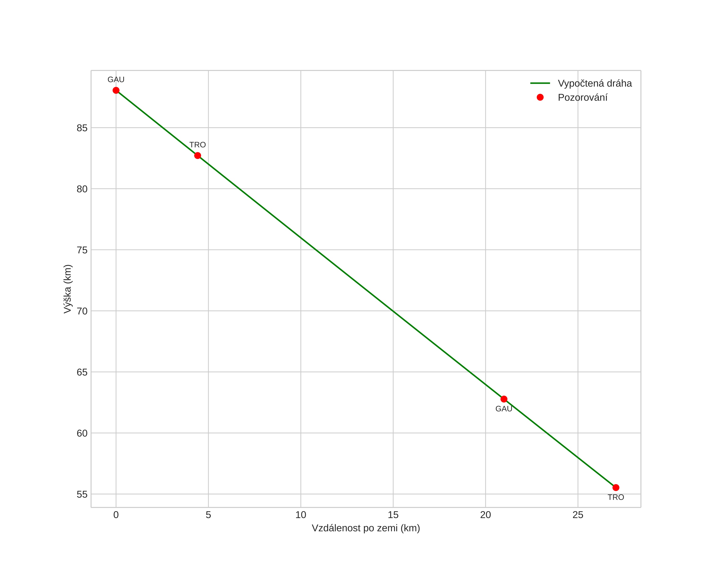
height profile
Atmosférická dráha meteoru:
Počáteční výška: 91,6 km
Konečná výška: 55,5 km
Počáteční poloha: 60,847N 6,576E
Konečná poloha: 60,960N 7,083E
Směr: 65,3°
Sklon: 50,2°
VstupnĂ­ rychlost: 36,5 km/s
Rektascenze radiantu: 07:28 (112,0°)
Deklinace radiantu: 31,7°
MeteorickĂ˝ roj: Geminidy
Elementy dráhy meteoroidu:
Vzdálenost v periheliu: 0,140 AU
Excentricita: 0,903
Sklon dráhy: 22,0°
Délka vzestupného uzlu: 261,6°
Argument perihelia: 323,8°
Střední anomálie: 339,2°
Epocha: 2023 DEC 14 04:31:43
orbit plot

NeinteraktivnĂ­ graf | InteraktivnĂ­ graf

position vs time
speed and acceleration