🇳🇴 🇬🇧 🇩🇪 🇨🇿 🇫🇮

Meteor, poloha: Vatne 2023-12-14 04:40:57 UTC

Soubor KML  |  InteraktivnĂ­ mapa

Mapa zobrazuje dráhy meteoru. Světlejší čáry ukazují směry od pozorovacích stanic při objevení se meteoru a tmavší čáry, kde byl naposledy viděn. Modrá šipka značí viditelnou dráhu meteoru.

static map
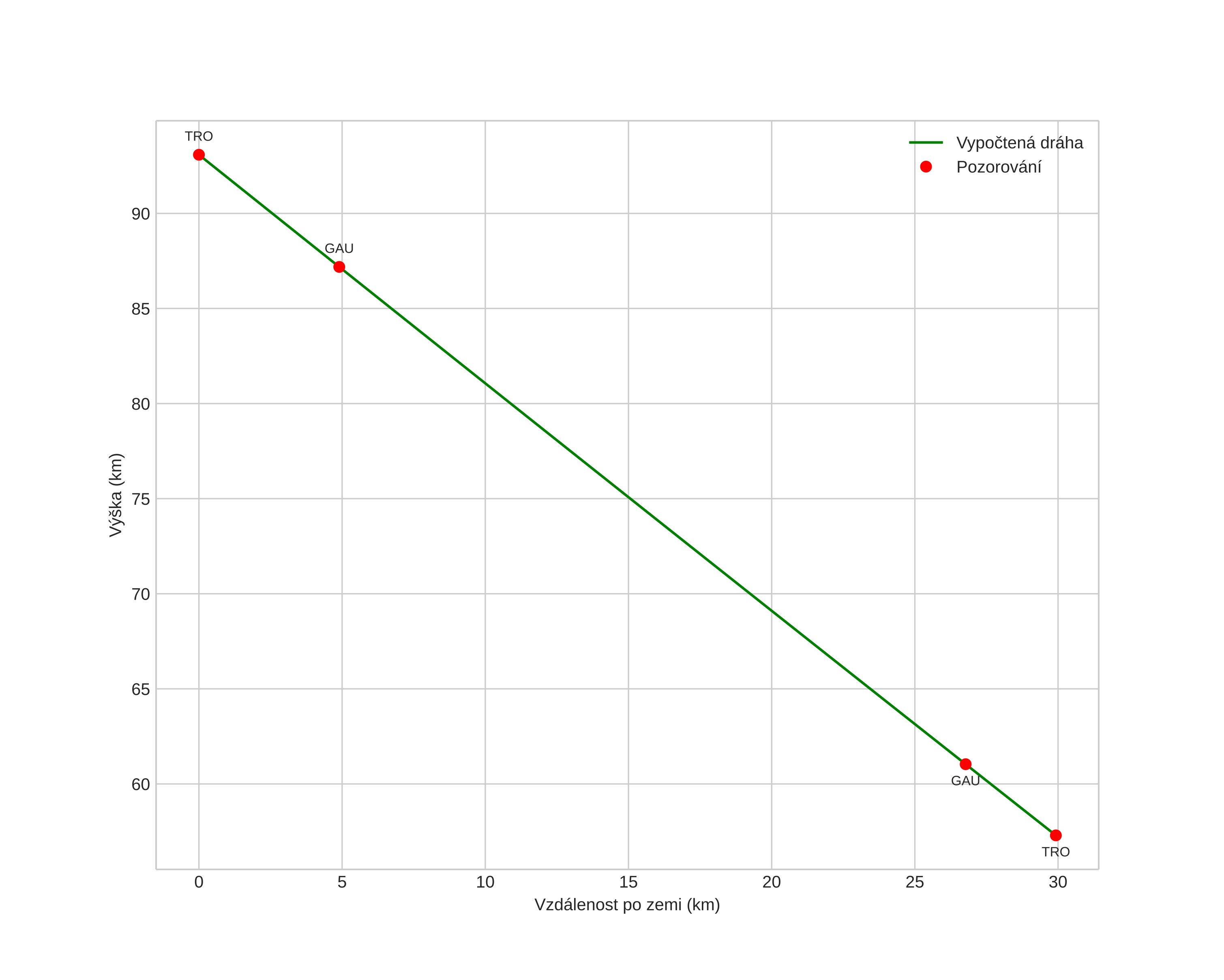
height profile
Atmosférická dráha meteoru:
Počáteční výška: 91,1 km
Konečná výška: 57,0 km
Počáteční poloha: 62,405N 6,024E
Konečná poloha: 62,517N 6,534E
Směr: 64,5°
Sklon: 49,6°
VstupnĂ­ rychlost: 35,1 km/s
Rektascenze radiantu: 07:33 (113,3°)
Deklinace radiantu: 31,9°
MeteorickĂ˝ roj: Geminidy
Elementy dráhy meteoroidu:
Vzdálenost v periheliu: 0,144 AU
Excentricita: 0,885
Sklon dráhy: 21,7°
Délka vzestupného uzlu: 261,6°
Argument perihelia: 324,8°
Střední anomálie: 333,4°
Epocha: 2023 DEC 14 04:40:57
orbit plot

NeinteraktivnĂ­ graf | InteraktivnĂ­ graf

position vs time
speed and acceleration