🇳🇴 🇬🇧 🇩🇪 🇨🇿 🇫🇮

Meteor, poloha: Andenes 2023-12-14 07:05:05 UTC

Soubor KML  |  Interaktivní mapa

Mapa zobrazuje dráhy meteoru. Světlejší čáry ukazují směry od pozorovacích stanic při objevení se meteoru a tmavší čáry, kde byl naposledy viděn. Modrá šipka značí viditelnou dráhu meteoru.

static map
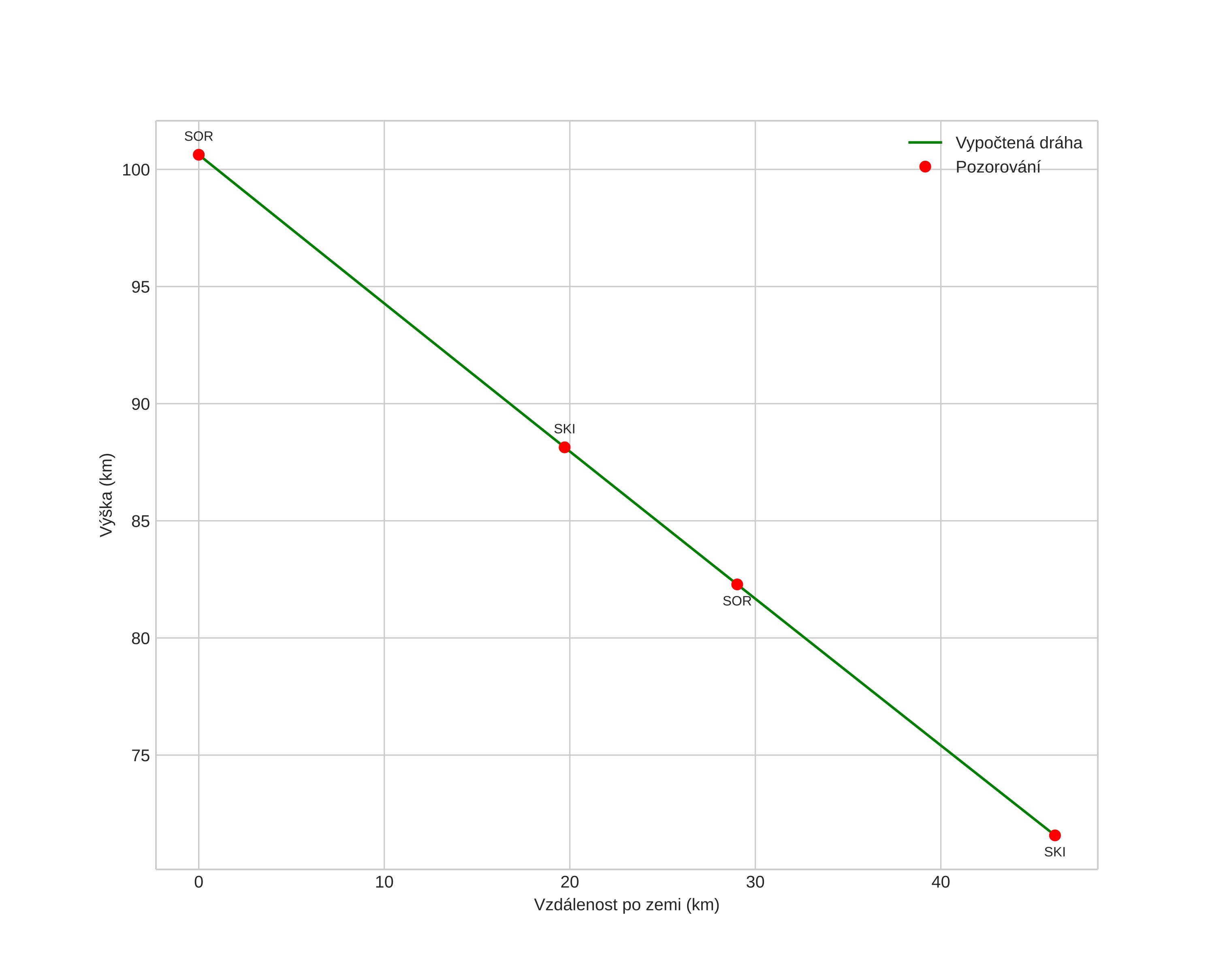
height profile
Atmosférická dráha meteoru:
Počáteční výška: 100,6 km
Konečná výška: 71,6 km
Počáteční poloha: 70,064N 15,738E
Konečná poloha: 69,958N 16,912E
Směr: 104,2°
Sklon: 32,1°
Vstupní rychlost: 37,5 km/s
Rektascenze radiantu: 07:30 (112,6°)
Deklinace radiantu: 33,4°
Meteorický roj: Geminidy
Elementy dráhy meteoroidu:
Vzdálenost v periheliu: 0,141 AU
Excentricita: 0,910
Sklon dráhy: 27,0°
Délka vzestupného uzlu: 261,7°
Argument perihelia: 322,9°
Střední anomálie: 341,8°
Epocha: 2023 DEC 14 07:05:05
orbit plot

Neinteraktivní graf | Interaktivní graf

position vs time
speed and acceleration

Sorreisa (SOR) cam4

gnomonic
Videa
Původní
Obrázky
Původní
Textové soubory
Detekce
Pozorování
Souřadnice
Chybová hlášení
Protokol
Jasnost