🇳🇴 🇬🇧 🇩🇪 🇨🇿 🇫🇮

Meteor, poloha: Kiruna 2023-12-14 15:13:48 UTC

Soubor KML  |  InteraktivnĂ­ mapa

Mapa zobrazuje dráhy meteoru. Světlejší čáry ukazují směry od pozorovacích stanic při objevení se meteoru a tmavší čáry, kde byl naposledy viděn. Modrá šipka značí viditelnou dráhu meteoru.

static map
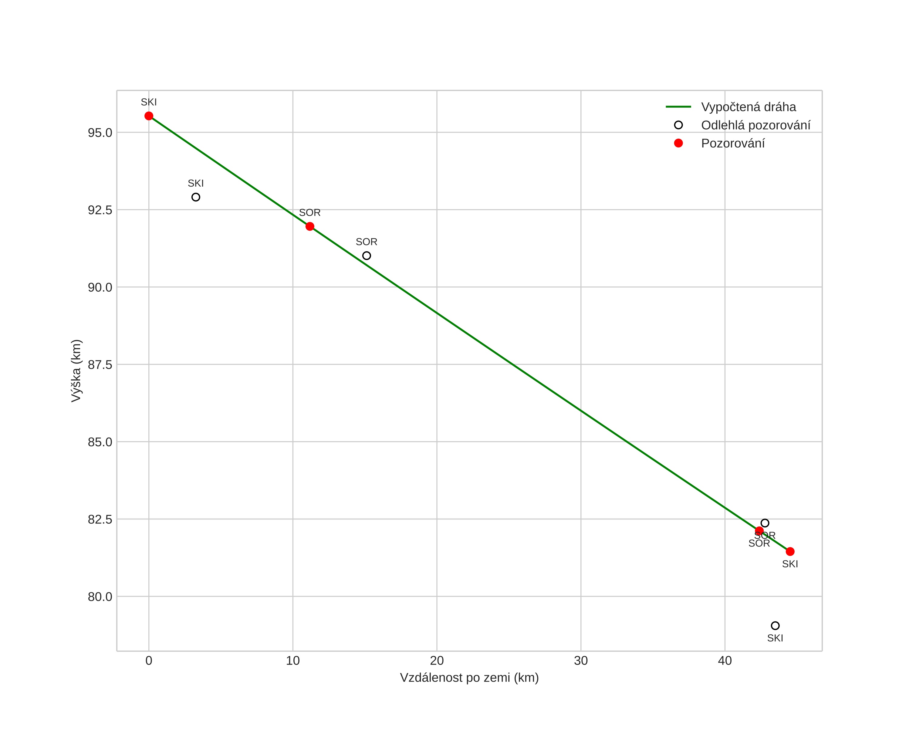
height profile
Atmosférická dráha meteoru:
Počáteční výška: 96,1 km
Konečná výška: 82,2 km
Počáteční poloha: 68,415N 21,037E
Konečná poloha: 68,076N 20,433E
Směr: 213,8°
Sklon: 17,1°
VstupnĂ­ rychlost: 35,2 km/s
Rektascenze radiantu: 07:31 (112,8°)
Deklinace radiantu: 32,4°
MeteorickĂ˝ roj: Geminidy
Elementy dráhy meteoroidu:
Vzdálenost v periheliu: 0,156 AU
Excentricita: 0,880
Sklon dráhy: 21,8°
Délka vzestupného uzlu: 262,0°
Argument perihelia: 323,0°
Střední anomálie: 334,6°
Epocha: 2023 DEC 14 15:13:48
orbit plot

NeinteraktivnĂ­ graf | InteraktivnĂ­ graf

position vs time
speed and acceleration