🇳🇴 🇬🇧 🇩🇪 🇨🇿 🇫🇮

Meteor, poloha: Hatteng 2023-12-14 15:20:32 UTC

Soubor KML  |  InteraktivnĂ­ mapa

Mapa zobrazuje dráhy meteoru. Světlejší čáry ukazují směry od pozorovacích stanic při objevení se meteoru a tmavší čáry, kde byl naposledy viděn. Modrá šipka značí viditelnou dráhu meteoru.

static map
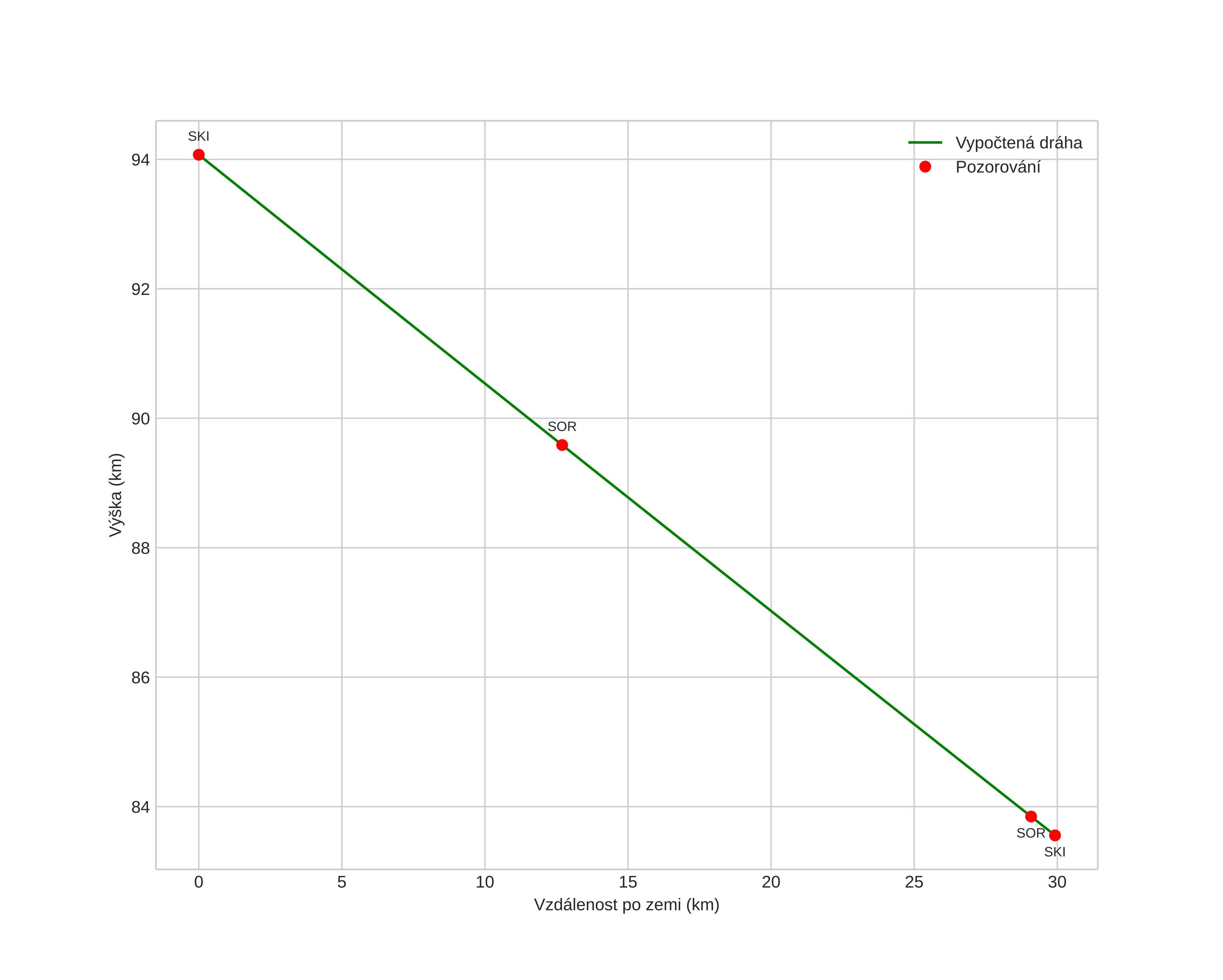
height profile
Atmosférická dráha meteoru:
Počáteční výška: 93,8 km
Konečná výška: 83,6 km
Počáteční poloha: 69,244N 20,726E
Konečná poloha: 69,026N 20,279E
Směr: 216,4°
Sklon: 18,8°
VstupnĂ­ rychlost: 38,2 km/s
Rektascenze radiantu: 07:23 (111,0°)
Deklinace radiantu: 33,2°
MeteorickĂ˝ roj: Geminidy
Elementy dráhy meteoroidu:
Vzdálenost v periheliu: 0,152 AU
Excentricita: 0,917
Sklon dráhy: 25,5°
Délka vzestupného uzlu: 262,0°
Argument perihelia: 320,2°
Střední anomálie: 345,6°
Epocha: 2023 DEC 14 15:20:32
orbit plot

NeinteraktivnĂ­ graf | InteraktivnĂ­ graf

position vs time
speed and acceleration