🇳🇴 🇬🇧 🇩🇪 🇨🇿 🇫🇮

Meteor, poloha: Alta 2023-12-14 16:05:35 UTC

Soubor KML  |  InteraktivnĂ­ mapa

Mapa zobrazuje dráhy meteoru. Světlejší čáry ukazují směry od pozorovacích stanic při objevení se meteoru a tmavší čáry, kde byl naposledy viděn. Modrá šipka značí viditelnou dráhu meteoru.

static map
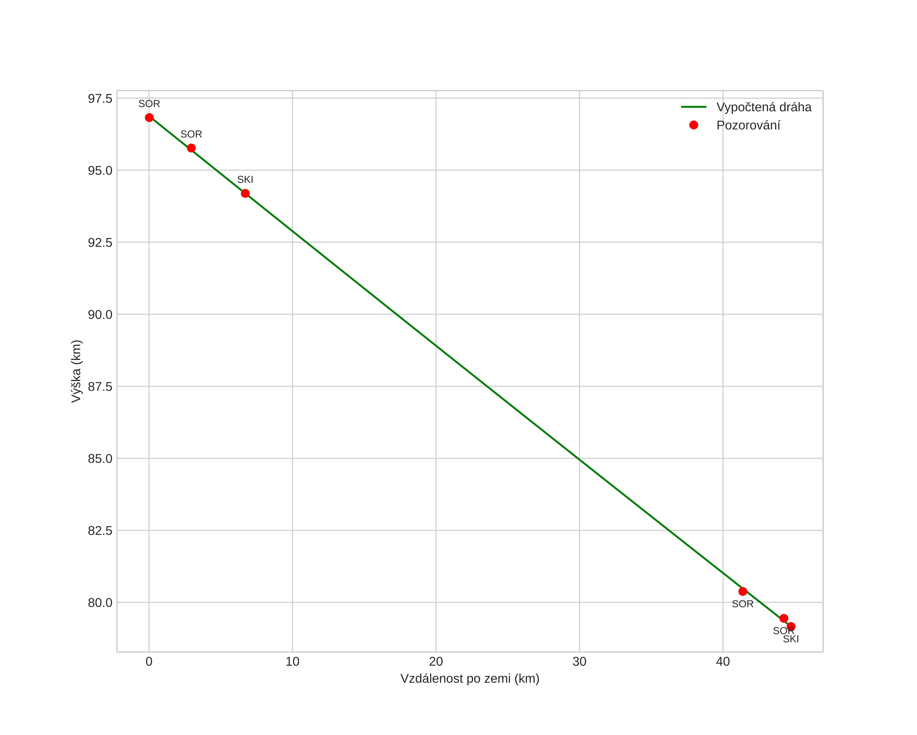
height profile
Atmosférická dráha meteoru:
Počáteční výška: 96,9 km
Konečná výška: 79,2 km
Počáteční poloha: 70,517N 24,043E
Konečná poloha: 70,246N 23,159E
Směr: 227,9°
Sklon: 21,6°
VstupnĂ­ rychlost: 41,3 km/s
Rektascenze radiantu: 07:30 (112,6°)
Deklinace radiantu: 32,4°
MeteorickĂ˝ roj: Geminidy
Elementy dráhy meteoroidu:
Vzdálenost v periheliu: 0,116 AU
Excentricita: 0,950
Sklon dráhy: 30,2°
Délka vzestupného uzlu: 262,1°
Argument perihelia: 324,2°
Střední anomálie: 350,6°
Epocha: 2023 DEC 14 16:05:35
orbit plot

NeinteraktivnĂ­ graf | InteraktivnĂ­ graf

position vs time
speed and acceleration