🇳🇴 🇬🇧 🇩🇪 🇨🇿 🇫🇮

Meteor, poloha: Finnsnes 2023-12-14 16:20:12 UTC

Soubor KML  |  InteraktivnĂ­ mapa

Mapa zobrazuje dráhy meteoru. Světlejší čáry ukazují směry od pozorovacích stanic při objevení se meteoru a tmavší čáry, kde byl naposledy viděn. Modrá šipka značí viditelnou dráhu meteoru.

static map
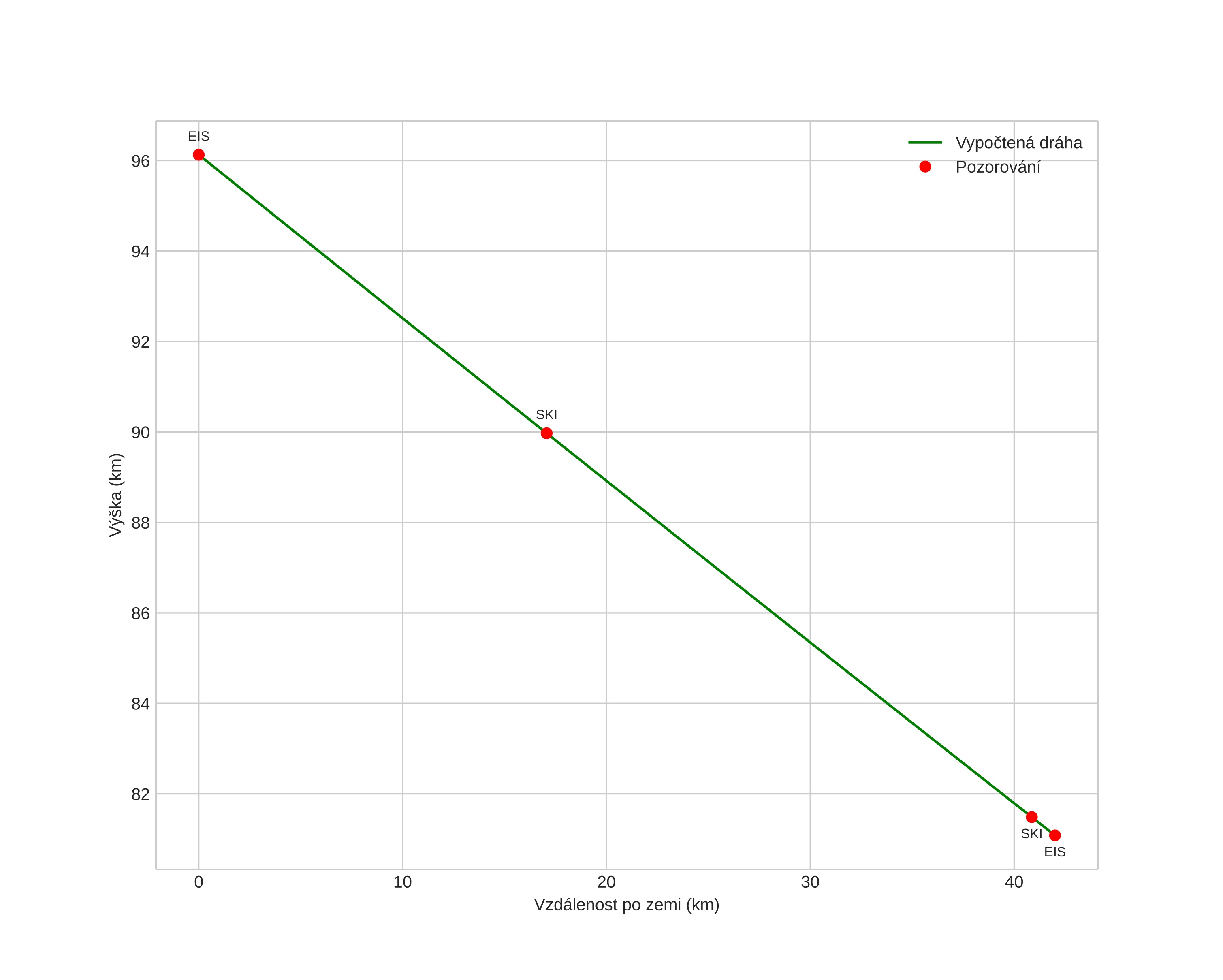
height profile
Atmosférická dráha meteoru:
Počáteční výška: 98,4 km
Konečná výška: 79,8 km
Počáteční poloha: 70,370N 18,414E
Konečná poloha: 70,074N 17,609E
Směr: 223,0°
Sklon: 22,6°
VstupnĂ­ rychlost: 38,1 km/s
Rektascenze radiantu: 07:42 (115,7°)
Deklinace radiantu: 34,6°
MeteorickĂ˝ roj: Geminidy
Elementy dráhy meteoroidu:
Vzdálenost v periheliu: 0,133 AU
Excentricita: 0,909
Sklon dráhy: 32,4°
Délka vzestupného uzlu: 262,1°
Argument perihelia: 324,7°
Střední anomálie: 339,6°
Epocha: 2023 DEC 14 16:20:12
orbit plot

NeinteraktivnĂ­ graf | InteraktivnĂ­ graf

position vs time
speed and acceleration