🇳🇴 🇬🇧 🇩🇪 🇨🇿 🇫🇮

Meteor Hattengin yllä 2023-12-14 16:21:44 UTC

KML-tiedosto  |  Interaktiivinen kartta

Kartta näyttää meteorin suuntahavainnot. Vaaleammat viivat näyttävät suunnat havaintoasemilta meteorin ilmestyessä, ja tummemmat viivat näyttävät, missä se viimeksi nähtiin. Sininen nuoli näyttää meteorin näkyvän lennon.

static map
height profile
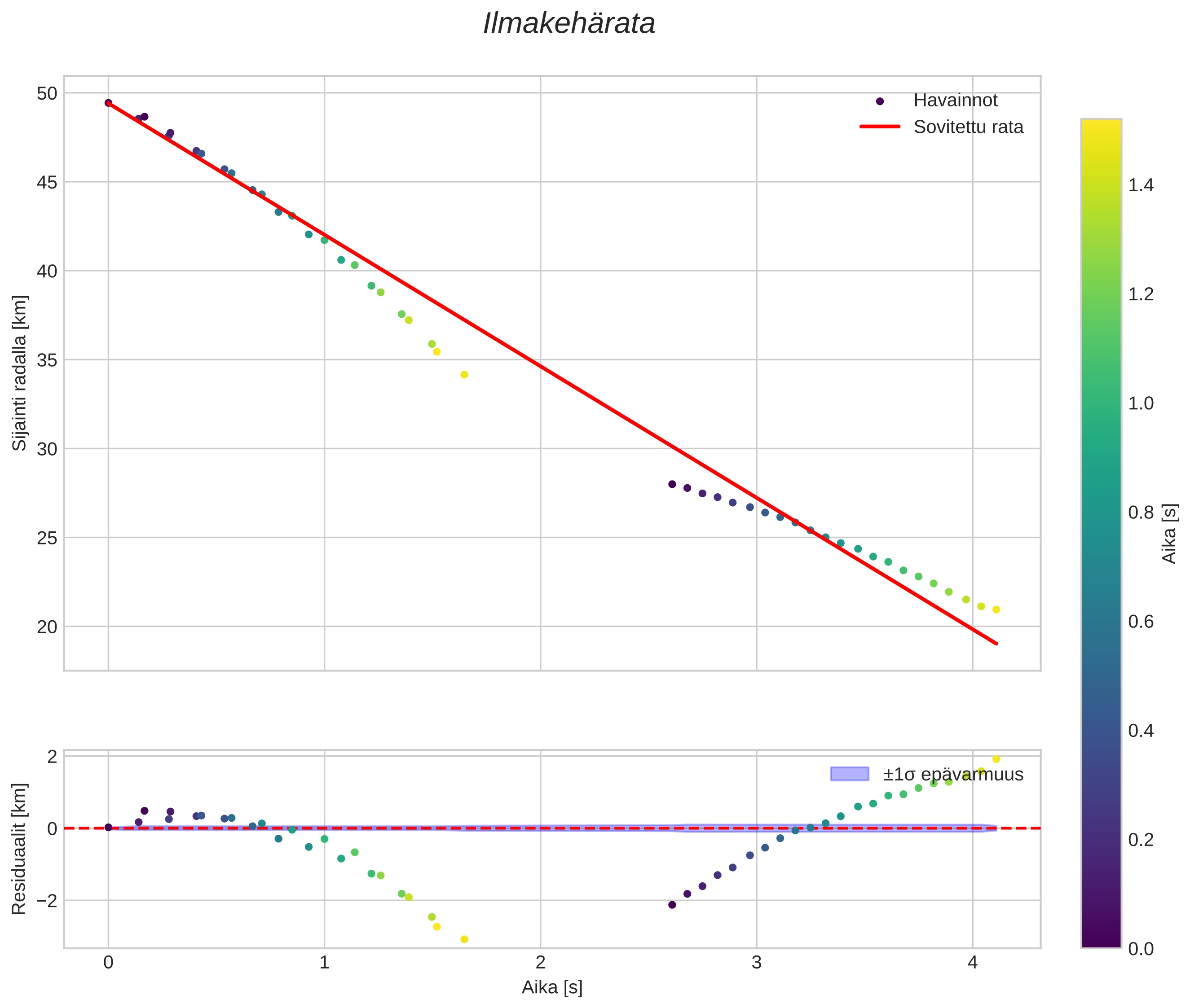
Meteorin ilmakehärata:
Alkukorkeus: 65,0 km
Loppukorkeus: 34,5 km
Alkupiste: 69,851N 21,153E
Loppupiste: 69,399N 19,711E
Suunta: 228,7°
Kallistuskulma: 22,1°
Tulonopeus: 25,6 km/s
Radiantin R,A,: 07:33 (113,5°)
Radiantin Dekl,: 30,7°
Meteoriparvi: Sporadinen
Meteoroidin rataelementit:
Perihelietäisyys: 0,251 AU
Eksentrisyys: 0,717
Inklinaatio: 10,3°
Nousevan solmun pituus: 262,1°
Perihelin argumentti: 321,7°
Keskianomalia: 301,7°
Epookki: 2023 DEC 14 16:21:44
orbit plot

Ei-interaktiivinen kuvaaja | Interaktiivinen kuvaaja

position vs time
speed and acceleration