🇳🇴 🇬🇧 🇩🇪 🇨🇿 🇫🇮

Meteor, poloha: Svolvær 2023-12-14 16:33:46 UTC

Soubor KML  |  InteraktivnĂ­ mapa

Mapa zobrazuje dráhy meteoru. Světlejší čáry ukazují směry od pozorovacích stanic při objevení se meteoru a tmavší čáry, kde byl naposledy viděn. Modrá šipka značí viditelnou dráhu meteoru.

static map
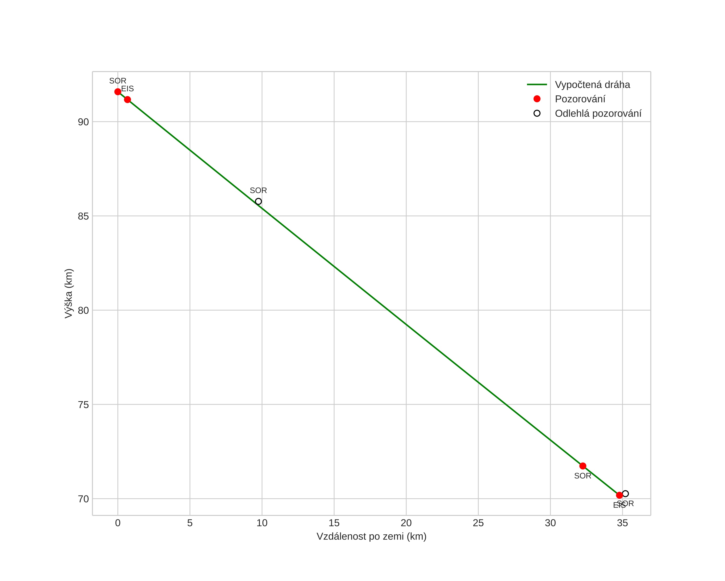
height profile
Atmosférická dráha meteoru:
Počáteční výška: 90,9 km
Konečná výška: 71,5 km
Počáteční poloha: 68,509N 15,227E
Konečná poloha: 68,249N 14,543E
Směr: 224,5°
Sklon: 25,8°
VstupnĂ­ rychlost: 30,8 km/s
Rektascenze radiantu: 07:29 (112,3°)
Deklinace radiantu: 37,6°
MeteorickĂ˝ roj: Geminidy
Elementy dráhy meteoroidu:
Vzdálenost v periheliu: 0,237 AU
Excentricita: 0,789
Sklon dráhy: 23,0°
Délka vzestupného uzlu: 262,1°
Argument perihelia: 316,3°
Střední anomálie: 323,5°
Epocha: 2023 DEC 14 16:33:46
orbit plot

NeinteraktivnĂ­ graf | InteraktivnĂ­ graf

position vs time
speed and acceleration