🇳🇴 🇬🇧 🇩🇪 🇨🇿 🇫🇮

Meteor, poloha: Storslett 2023-12-14 17:05:52 UTC

Soubor KML  |  InteraktivnĂ­ mapa

Mapa zobrazuje dráhy meteoru. Světlejší čáry ukazují směry od pozorovacích stanic při objevení se meteoru a tmavší čáry, kde byl naposledy viděn. Modrá šipka značí viditelnou dráhu meteoru.

static map
height profile
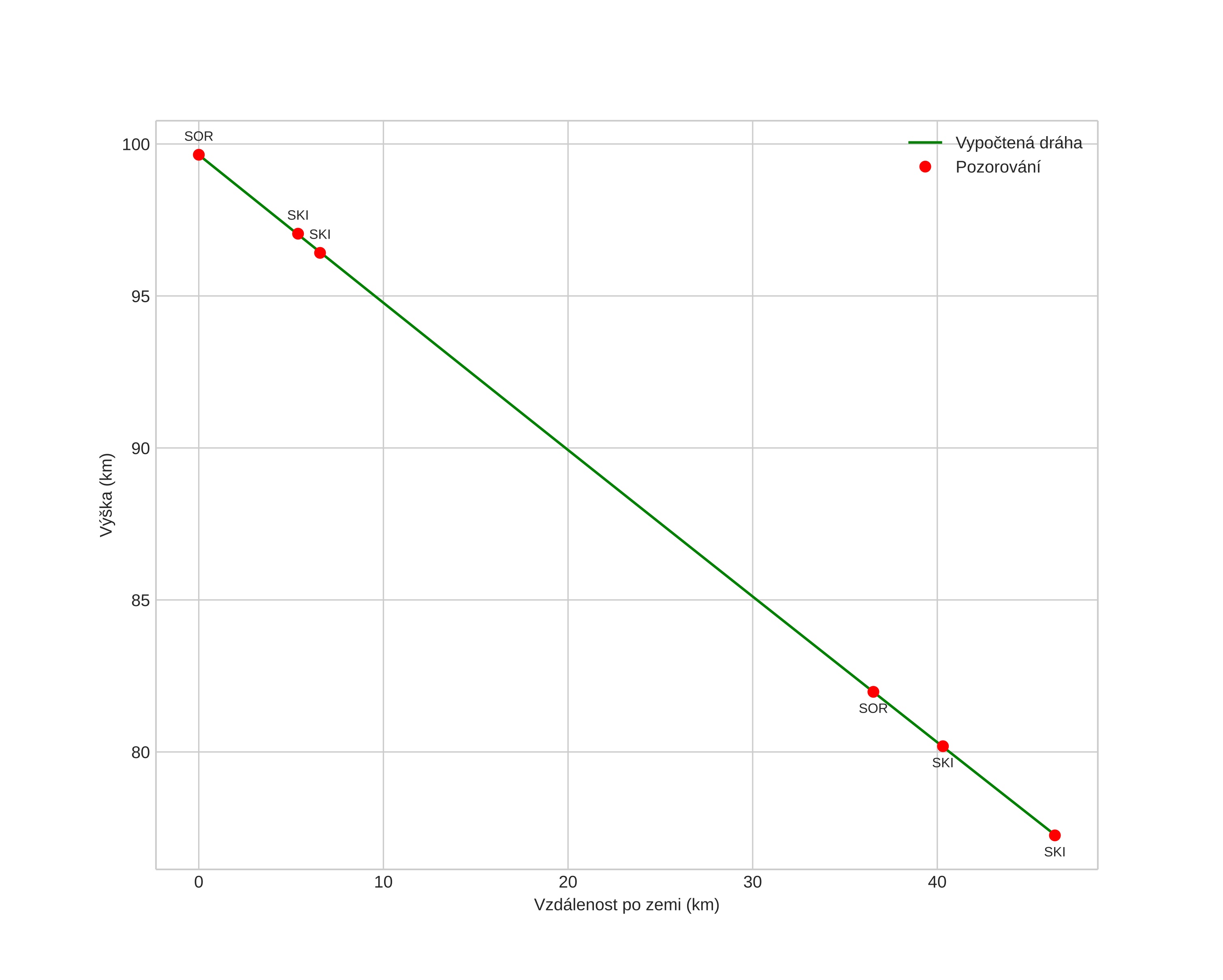
Atmosférická dráha meteoru:
Počáteční výška: 99,6 km
Konečná výška: 77,3 km
Počáteční poloha: 69,767N 22,165E
Konečná poloha: 69,553N 21,136E
Směr: 239,5°
Sklon: 25,7°
VstupnĂ­ rychlost: 44,3 km/s
Rektascenze radiantu: 07:26 (111,6°)
Deklinace radiantu: 33,4°
MeteorickĂ˝ roj: sporadickĂ˝
Elementy dráhy meteoroidu:
Vzdálenost v periheliu: 0,116 AU
Excentricita: 0,978
Sklon dráhy: 35,4°
Délka vzestupného uzlu: 262,1°
Argument perihelia: 321,6°
Střední anomálie: 357,5°
Epocha: 2023 DEC 14 17:05:52
orbit plot

NeinteraktivnĂ­ graf | InteraktivnĂ­ graf

position vs time
speed and acceleration