🇳🇴 🇬🇧 🇩🇪 🇨🇿 🇫🇮

Meteor, poloha: Storslett 2023-12-14 17:05:53 UTC

Soubor KML  |  InteraktivnĂ­ mapa

Mapa zobrazuje dráhy meteoru. Světlejší čáry ukazují směry od pozorovacích stanic při objevení se meteoru a tmavší čáry, kde byl naposledy viděn. Modrá šipka značí viditelnou dráhu meteoru.

static map
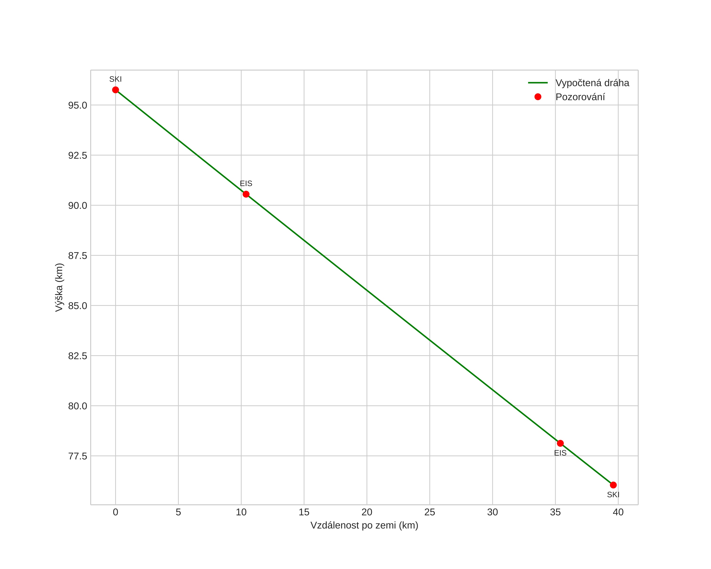
height profile
Atmosférická dráha meteoru:
Počáteční výška: 99,0 km
Konečná výška: 76,1 km
Počáteční poloha: 69,759N 22,102E
Konečná poloha: 69,545N 21,099E
Směr: 238,9°
Sklon: 26,7°
VstupnĂ­ rychlost: 39,1 km/s
Rektascenze radiantu: 07:27 (111,8°)
Deklinace radiantu: 34,3°
MeteorickĂ˝ roj: Geminidy
Elementy dráhy meteoroidu:
Vzdálenost v periheliu: 0,149 AU
Excentricita: 0,924
Sklon dráhy: 29,3°
Délka vzestupného uzlu: 262,1°
Argument perihelia: 320,0°
Střední anomálie: 347,2°
Epocha: 2023 DEC 14 17:05:53
orbit plot

NeinteraktivnĂ­ graf | InteraktivnĂ­ graf

position vs time
speed and acceleration