🇳🇴 🇬🇧 🇩🇪 🇨🇿 🇫🇮

Meteor, poloha: Olderdalen 2023-12-14 18:25:23 UTC

Soubor KML  |  InteraktivnĂ­ mapa

Mapa zobrazuje dráhy meteoru. Světlejší čáry ukazují směry od pozorovacích stanic při objevení se meteoru a tmavší čáry, kde byl naposledy viděn. Modrá šipka značí viditelnou dráhu meteoru.

static map
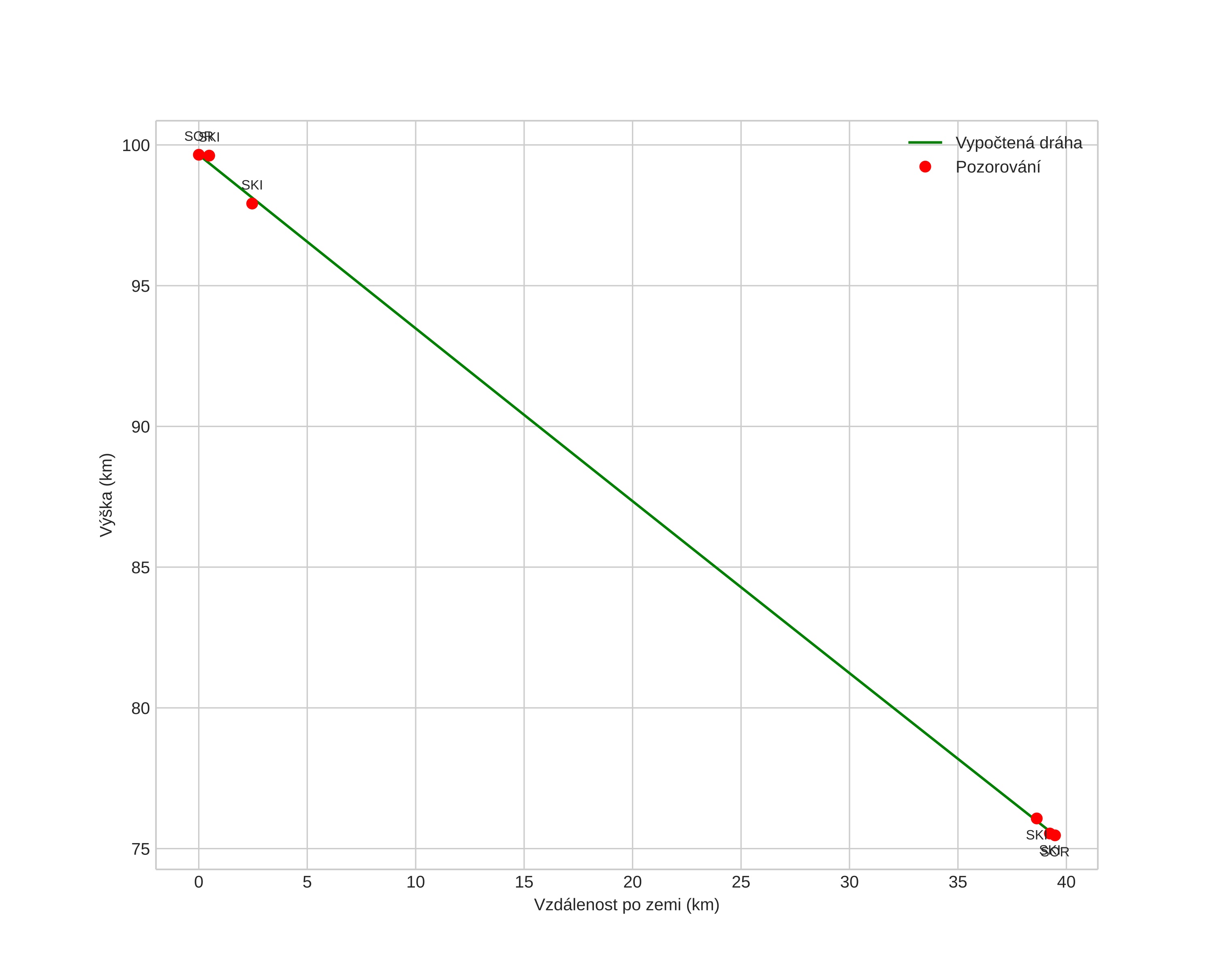
height profile
Atmosférická dráha meteoru:
Počáteční výška: 99,4 km
Konečná výška: 75,6 km
Počáteční poloha: 69,119N 21,520E
Konečná poloha: 69,031N 20,561E
Směr: 256,0°
Sklon: 31,2°
VstupnĂ­ rychlost: 39,5 km/s
Rektascenze radiantu: 07:27 (111,8°)
Deklinace radiantu: 32,8°
MeteorickĂ˝ roj: Geminidy
Elementy dráhy meteoroidu:
Vzdálenost v periheliu: 0,136 AU
Excentricita: 0,931
Sklon dráhy: 27,1°
Délka vzestupného uzlu: 262,2°
Argument perihelia: 321,9°
Střední anomálie: 347,6°
Epocha: 2023 DEC 14 18:25:23
orbit plot

NeinteraktivnĂ­ graf | InteraktivnĂ­ graf

position vs time
speed and acceleration