🇳🇴 🇬🇧 🇩🇪 🇨🇿 🇫🇮

Meteor, poloha: Hansnes 2023-12-14 19:09:17 UTC

Soubor KML  |  InteraktivnĂ­ mapa

Mapa zobrazuje dráhy meteoru. Světlejší čáry ukazují směry od pozorovacích stanic při objevení se meteoru a tmavší čáry, kde byl naposledy viděn. Modrá šipka značí viditelnou dráhu meteoru.

static map
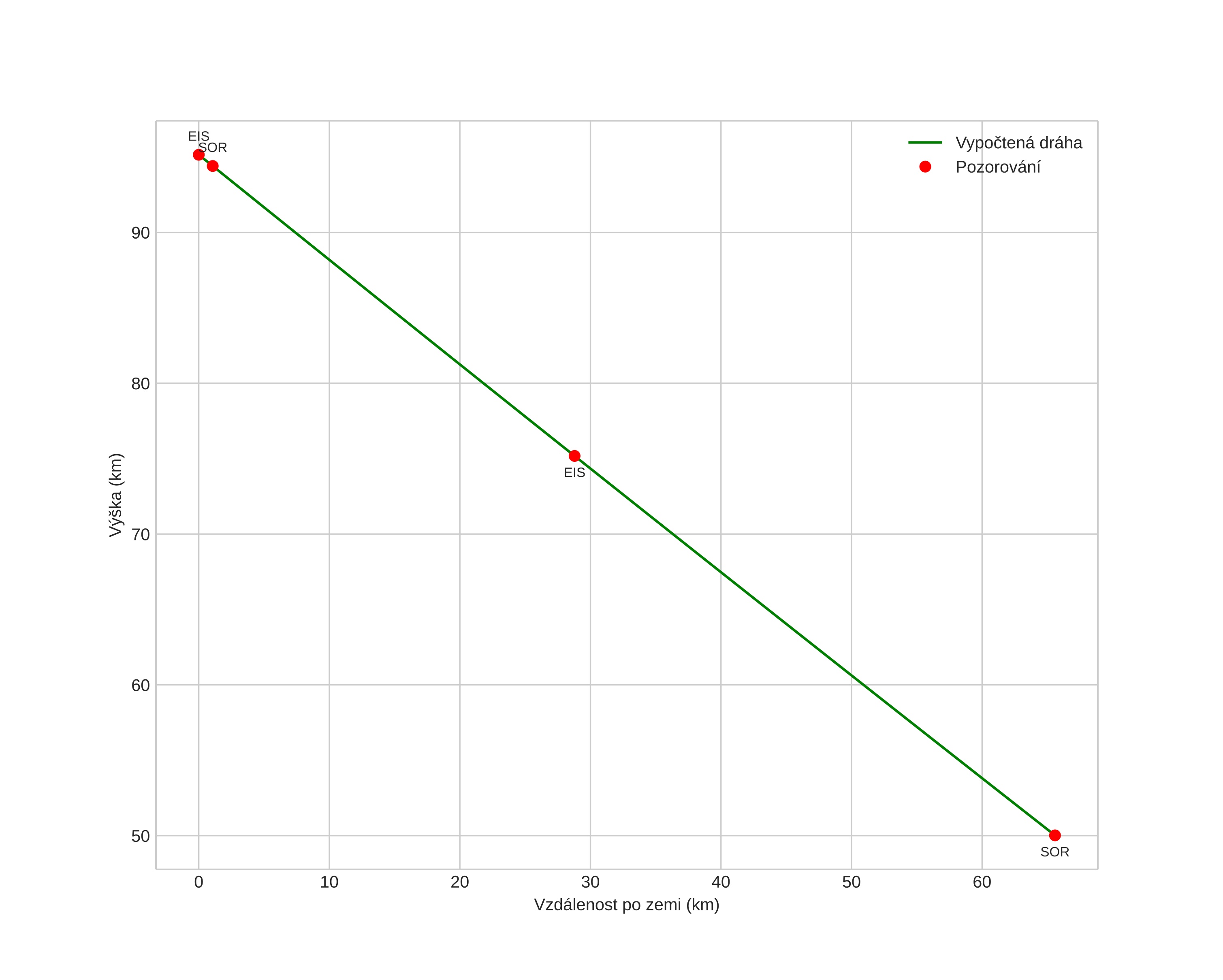
height profile
Atmosférická dráha meteoru:
Počáteční výška: 93,9 km
Konečná výška: 54,9 km
Počáteční poloha: 70,535N 20,727E
Konečná poloha: 70,465N 19,204E
Směr: 262,9°
Sklon: 34,4°
VstupnĂ­ rychlost: 38,7 km/s
Rektascenze radiantu: 07:39 (115,0°)
Deklinace radiantu: 33,5°
MeteorickĂ˝ roj: Geminidy
Elementy dráhy meteoroidu:
Vzdálenost v periheliu: 0,126 AU
Excentricita: 0,919
Sklon dráhy: 30,6°
Délka vzestupného uzlu: 262,2°
Argument perihelia: 325,1°
Střední anomálie: 342,0°
Epocha: 2023 DEC 14 19:09:17
orbit plot

NeinteraktivnĂ­ graf | InteraktivnĂ­ graf

position vs time
speed and acceleration