🇳🇴 🇬🇧 🇩🇪 🇨🇿 🇫🇮

Meteor, poloha: Storsteinnes 2023-12-14 19:18:19 UTC

Soubor KML  |  InteraktivnĂ­ mapa

Mapa zobrazuje dráhy meteoru. Světlejší čáry ukazují směry od pozorovacích stanic při objevení se meteoru a tmavší čáry, kde byl naposledy viděn. Modrá šipka značí viditelnou dráhu meteoru.

static map
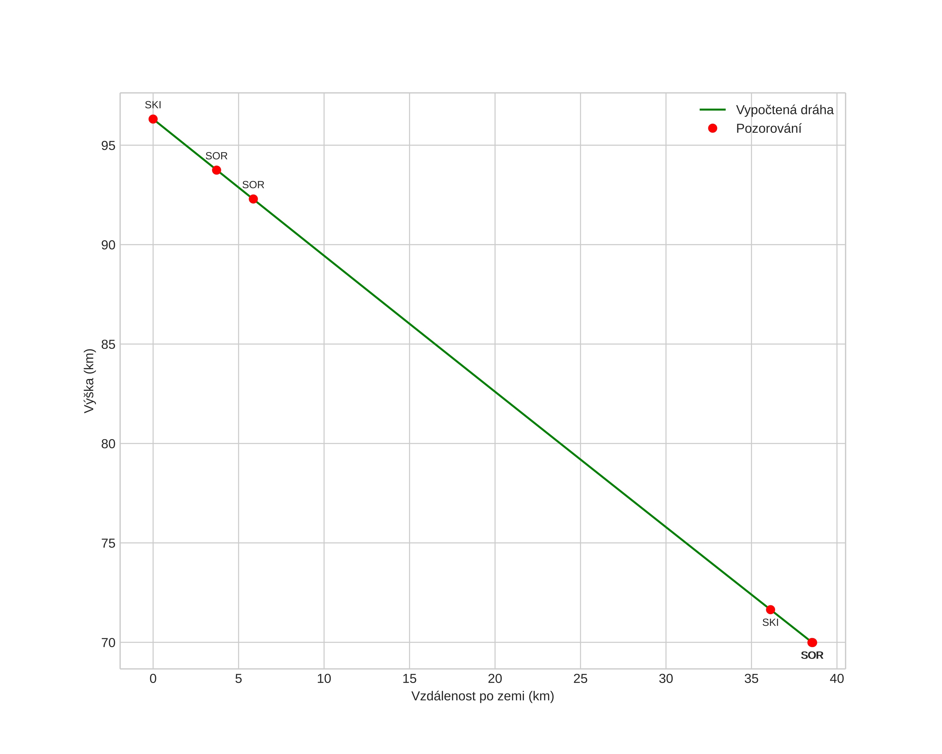
height profile
Atmosférická dráha meteoru:
Počáteční výška: 96,5 km
Konečná výška: 70,1 km
Počáteční poloha: 69,525N 20,172E
Konečná poloha: 69,496N 19,189E
Směr: 265,6°
Sklon: 34,5°
VstupnĂ­ rychlost: 35,3 km/s
Rektascenze radiantu: 07:34 (113,5°)
Deklinace radiantu: 32,3°
MeteorickĂ˝ roj: Geminidy
Elementy dráhy meteoroidu:
Vzdálenost v periheliu: 0,151 AU
Excentricita: 0,883
Sklon dráhy: 22,1°
Délka vzestupného uzlu: 262,2°
Argument perihelia: 323,8°
Střední anomálie: 334,1°
Epocha: 2023 DEC 14 19:18:19
orbit plot

NeinteraktivnĂ­ graf | InteraktivnĂ­ graf

position vs time
speed and acceleration