🇳🇴 🇬🇧 🇩🇪 🇨🇿 🇫🇮

Meteor, poloha: Røst 2023-12-14 20:01:39 UTC

Soubor KML  |  InteraktivnĂ­ mapa

Mapa zobrazuje dráhy meteoru. Světlejší čáry ukazují směry od pozorovacích stanic při objevení se meteoru a tmavší čáry, kde byl naposledy viděn. Modrá šipka značí viditelnou dráhu meteoru.

static map
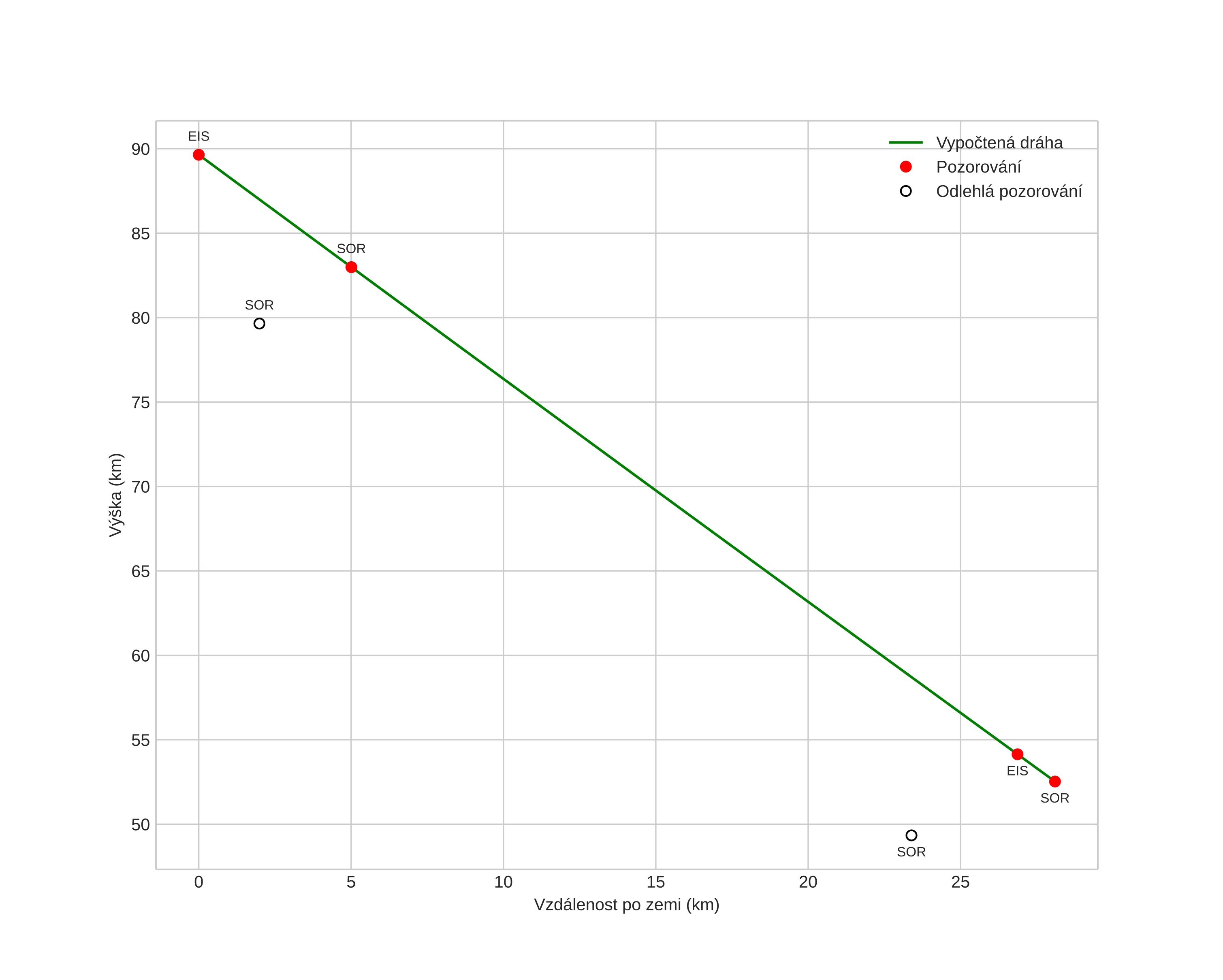
height profile
Atmosférická dráha meteoru:
Počáteční výška: 93,8 km
Konečná výška: 62,6 km
Počáteční poloha: 67,267N 12,819E
Konečná poloha: 67,206N 11,670E
Směr: 262,7°
Sklon: 32,0°
VstupnĂ­ rychlost: 37,6 km/s
Rektascenze radiantu: 07:58 (119,5°)
Deklinace radiantu: 30,9°
MeteorickĂ˝ roj: Geminidy
Elementy dráhy meteoroidu:
Vzdálenost v periheliu: 0,091 AU
Excentricita: 0,922
Sklon dráhy: 29,7°
Délka vzestupného uzlu: 262,2°
Argument perihelia: 333,2°
Střední anomálie: 331,7°
Epocha: 2023 DEC 14 20:01:39
orbit plot

NeinteraktivnĂ­ graf | InteraktivnĂ­ graf

position vs time
speed and acceleration