🇳🇴 🇬🇧 🇩🇪 🇨🇿 🇫🇮

Meteor Straumen yllä 2023-12-14 20:27:44 UTC

KML-tiedosto  |  Interaktiivinen kartta

Kartta näyttää meteorin suuntahavainnot. Vaaleammat viivat näyttävät suunnat havaintoasemilta meteorin ilmestyessä, ja tummemmat viivat näyttävät, missä se viimeksi nähtiin. Sininen nuoli näyttää meteorin näkyvän lennon.

static map
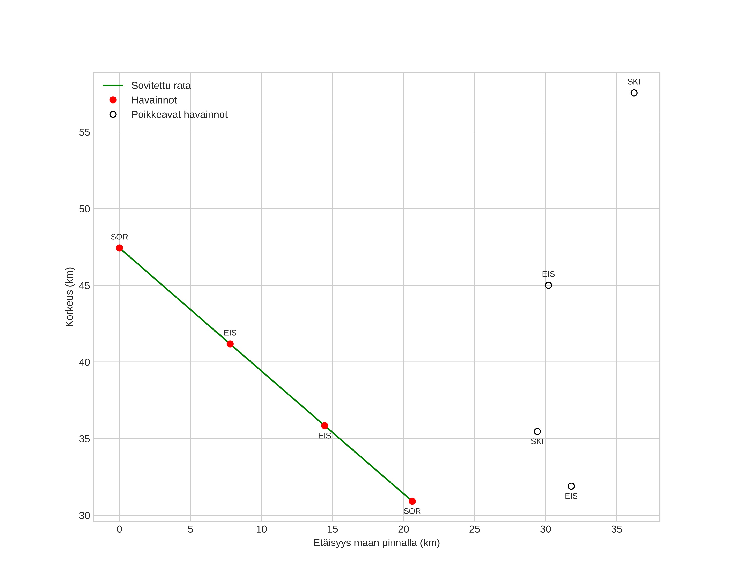
height profile
Meteorin ilmakehärata:
Alkukorkeus: 98,3 km
Loppukorkeus: 63,2 km
Alkupiste: 70,068N 15,338E
Loppupiste: 70,116N 14,161E
Suunta: 277,4°
Kallistuskulma: 38,0°
Tulonopeus: 41,4 km/s
Radiantin R,A,: 07:36 (114,1°)
Radiantin Dekl,: 32,2°
Meteoriparvi: Geminidit
Meteoroidin rataelementit:
Perihelietäisyys: 0,106 AU
Eksentrisyys: 0,950
Inklinaatio: 31,6°
Nousevan solmun pituus: 262,2°
Perihelin argumentti: 326,2°
Keskianomalia: 349,4°
Epookki: 2023 DEC 14 20:27:44
orbit plot

Ei-interaktiivinen kuvaaja | Interaktiivinen kuvaaja

position vs time
speed and acceleration

Sorreisa (SOR) cam4

gnomonic
Videot:
• Alkuperäinen
Kuvat:
• Alkuperäinen
Tekstitiedostot:
• Havaintoraportti
• Observaatio
• Koordinaatit
• Virheilmoitukset
• Loki
Kirkkaus