🇳🇴 🇬🇧 🇩🇪 🇨🇿 🇫🇮

Meteor, poloha: Skjervøy 2023-12-14 20:28:39 UTC

Soubor KML  |  InteraktivnĂ­ mapa

Mapa zobrazuje dráhy meteoru. Světlejší čáry ukazují směry od pozorovacích stanic při objevení se meteoru a tmavší čáry, kde byl naposledy viděn. Modrá šipka značí viditelnou dráhu meteoru.

static map
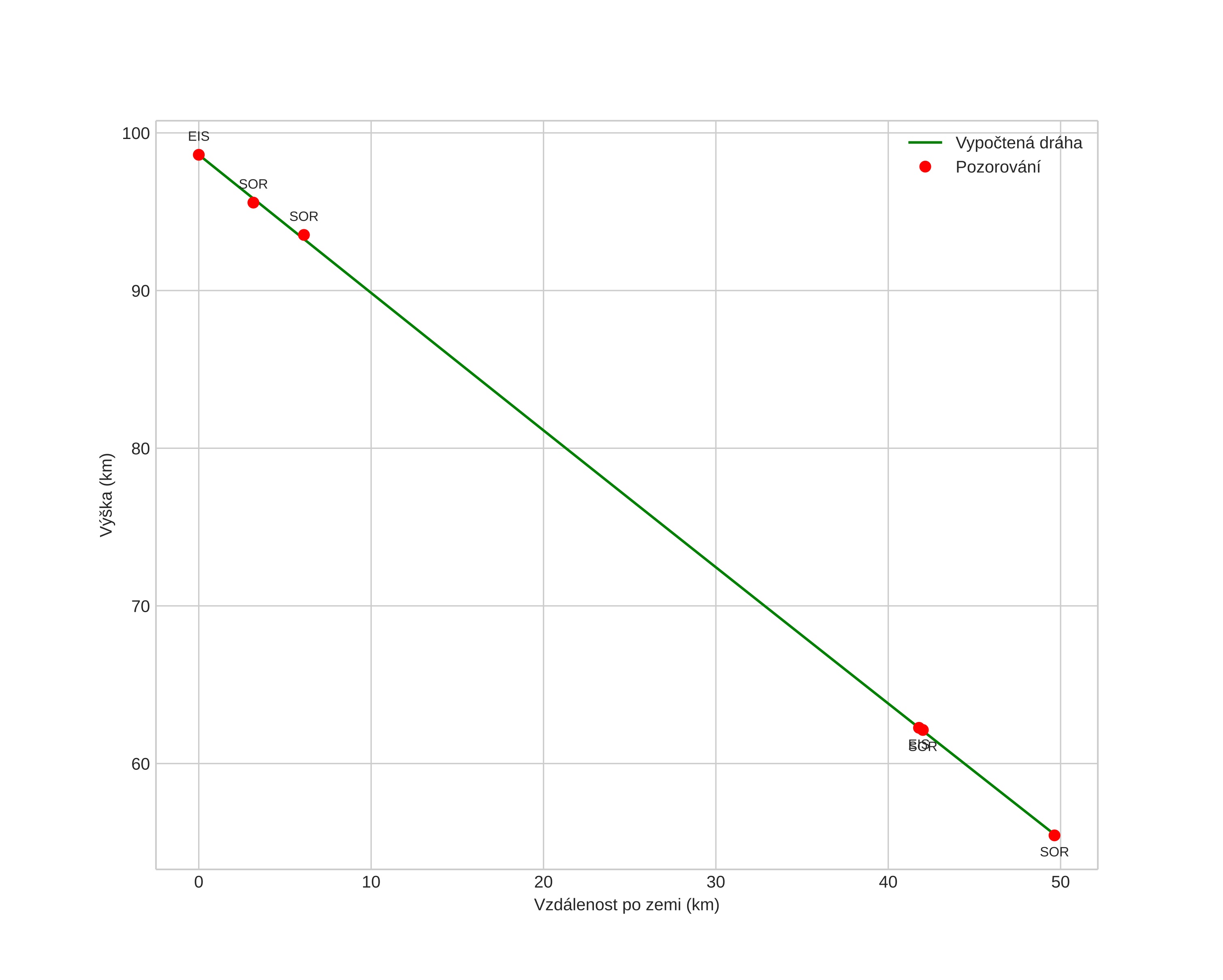
height profile
Atmosférická dráha meteoru:
Počáteční výška: 98,5 km
Konečná výška: 56,2 km
Počáteční poloha: 70,874N 22,550E
Konečná poloha: 71,057N 21,308E
Směr: 294,9°
Sklon: 40,5°
VstupnĂ­ rychlost: 34,6 km/s
Rektascenze radiantu: 07:04 (106,0°)
Deklinace radiantu: 29,4°
MeteorickĂ˝ roj: Geminidy
Elementy dráhy meteoroidu:
Vzdálenost v periheliu: 0,202 AU
Excentricita: 0,877
Sklon dráhy: 11,8°
Délka vzestupného uzlu: 262,2°
Argument perihelia: 314,5°
Střední anomálie: 341,9°
Epocha: 2023 DEC 14 20:28:39
orbit plot

NeinteraktivnĂ­ graf | InteraktivnĂ­ graf

position vs time
speed and acceleration