🇳🇴 🇬🇧 🇩🇪 🇨🇿 🇫🇮

Meteor, poloha: Sjøvegan 2023-12-14 20:40:26 UTC

Soubor KML  |  InteraktivnĂ­ mapa

Mapa zobrazuje dráhy meteoru. Světlejší čáry ukazují směry od pozorovacích stanic při objevení se meteoru a tmavší čáry, kde byl naposledy viděn. Modrá šipka značí viditelnou dráhu meteoru.

static map
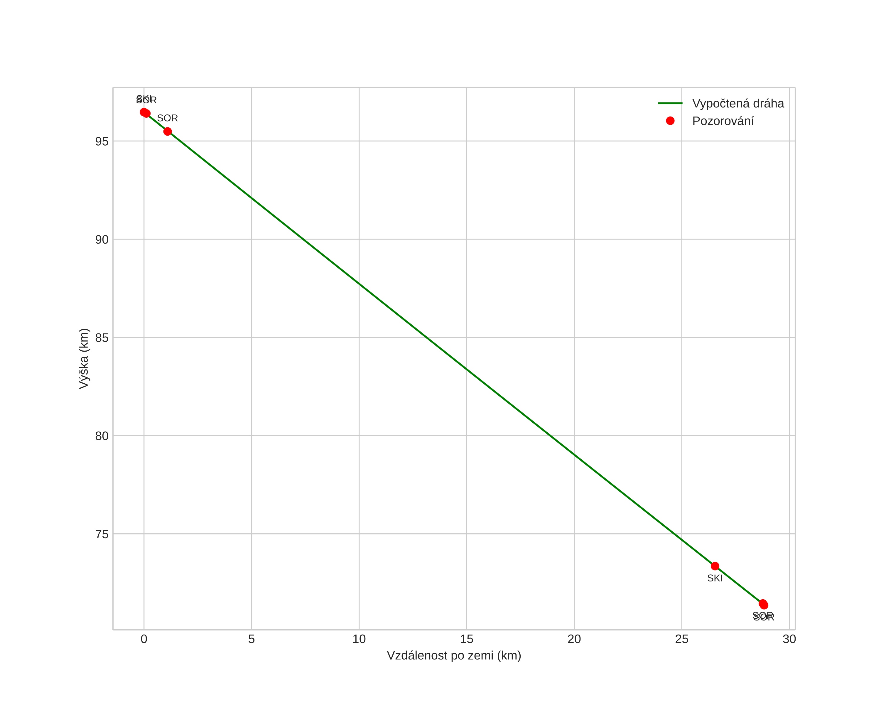
height profile
Atmosférická dráha meteoru:
Počáteční výška: 96,5 km
Konečná výška: 71,4 km
Počáteční poloha: 68,875N 18,419E
Konečná poloha: 68,932N 17,717E
Směr: 283,0°
Sklon: 41,1°
VstupnĂ­ rychlost: 35,6 km/s
Rektascenze radiantu: 07:33 (113,5°)
Deklinace radiantu: 32,4°
MeteorickĂ˝ roj: Geminidy
Elementy dráhy meteoroidu:
Vzdálenost v periheliu: 0,150 AU
Excentricita: 0,886
Sklon dráhy: 22,6°
Délka vzestupného uzlu: 262,3°
Argument perihelia: 323,6°
Střední anomálie: 335,1°
Epocha: 2023 DEC 14 20:40:26
orbit plot

NeinteraktivnĂ­ graf | InteraktivnĂ­ graf

position vs time
speed and acceleration