🇳🇴 🇬🇧 🇩🇪 🇨🇿 🇫🇮

Meteor, poloha: Enontekiö 2023-12-14 21:21:53 UTC

Soubor KML  |  InteraktivnĂ­ mapa

Mapa zobrazuje dráhy meteoru. Světlejší čáry ukazují směry od pozorovacích stanic při objevení se meteoru a tmavší čáry, kde byl naposledy viděn. Modrá šipka značí viditelnou dráhu meteoru.

static map
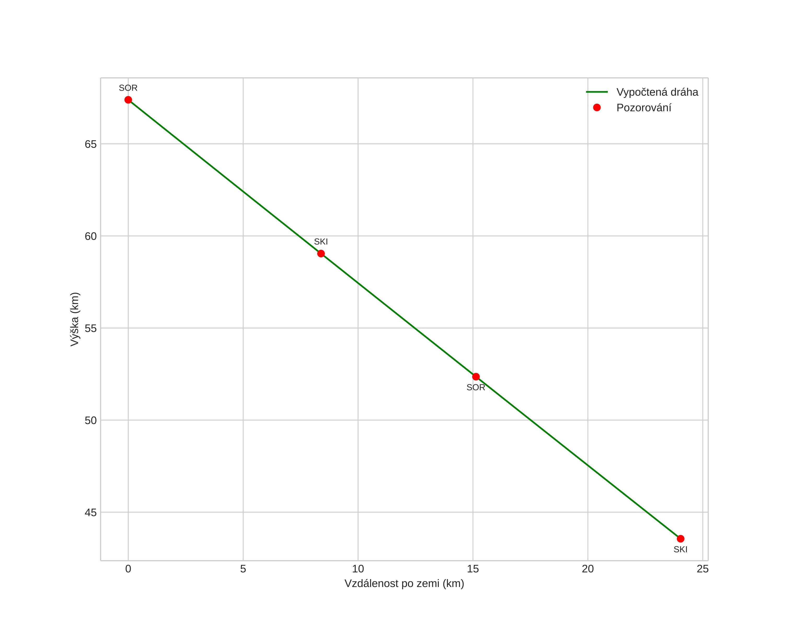
height profile
Atmosférická dráha meteoru:
Počáteční výška: 69,8 km
Konečná výška: 45,0 km
Počáteční poloha: 68,999N 24,573E
Konečná poloha: 69,114N 23,851E
Směr: 294,4°
Sklon: 38,3°
VstupnĂ­ rychlost: 38,4 km/s
Rektascenze radiantu: 08:07 (121,9°)
Deklinace radiantu: 26,5°
MeteorickĂ˝ roj: sporadickĂ˝
Elementy dráhy meteoroidu:
Vzdálenost v periheliu: 0,052 AU
Excentricita: 0,951
Sklon dráhy: 24,2°
Délka vzestupného uzlu: 262,3°
Argument perihelia: 340,6°
Střední anomálie: 328,9°
Epocha: 2023 DEC 14 21:21:53
orbit plot

NeinteraktivnĂ­ graf | InteraktivnĂ­ graf

position vs time
speed and acceleration