🇳🇴 🇬🇧 🇩🇪 🇨🇿 🇫🇮

Meteor, poloha: Malmberget 2023-12-14 21:28:17 UTC

Soubor KML  |  InteraktivnĂ­ mapa

Mapa zobrazuje dráhy meteoru. Světlejší čáry ukazují směry od pozorovacích stanic při objevení se meteoru a tmavší čáry, kde byl naposledy viděn. Modrá šipka značí viditelnou dráhu meteoru.

static map
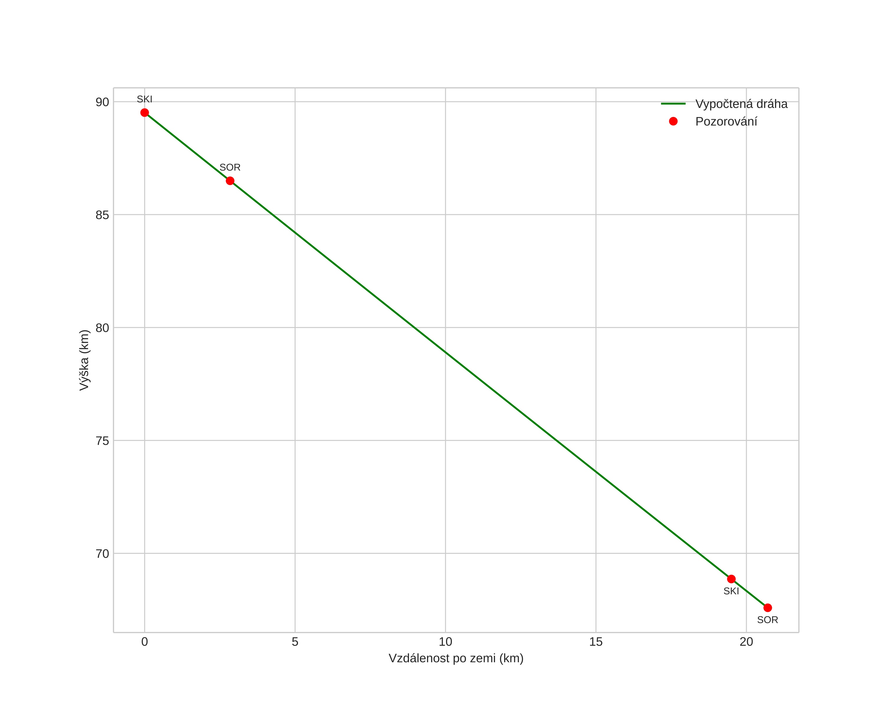
height profile
Atmosférická dráha meteoru:
Počáteční výška: 89,5 km
Konečná výška: 68,3 km
Počáteční poloha: 67,862N 21,633E
Konečná poloha: 67,946N 21,207E
Směr: 297,9°
Sklon: 46,5°
VstupnĂ­ rychlost: 32,4 km/s
Rektascenze radiantu: 07:34 (113,7°)
Deklinace radiantu: 32,3°
MeteorickĂ˝ roj: Geminidy
Elementy dráhy meteoroidu:
Vzdálenost v periheliu: 0,176 AU
Excentricita: 0,842
Sklon dráhy: 18,7°
Délka vzestupného uzlu: 262,3°
Argument perihelia: 322,9°
Střední anomálie: 325,4°
Epocha: 2023 DEC 14 21:28:17
orbit plot

NeinteraktivnĂ­ graf | InteraktivnĂ­ graf

position vs time
speed and acceleration