🇳🇴 🇬🇧 🇩🇪 🇨🇿 🇫🇮

Meteor, poloha: Ávanuorri 2023-12-14 21:31:51 UTC

Soubor KML  |  Interaktivní mapa

Mapa zobrazuje dráhy meteoru. Světlejší čáry ukazují směry od pozorovacích stanic při objevení se meteoru a tmavší čáry, kde byl naposledy viděn. Modrá šipka značí viditelnou dráhu meteoru.

static map
height profile
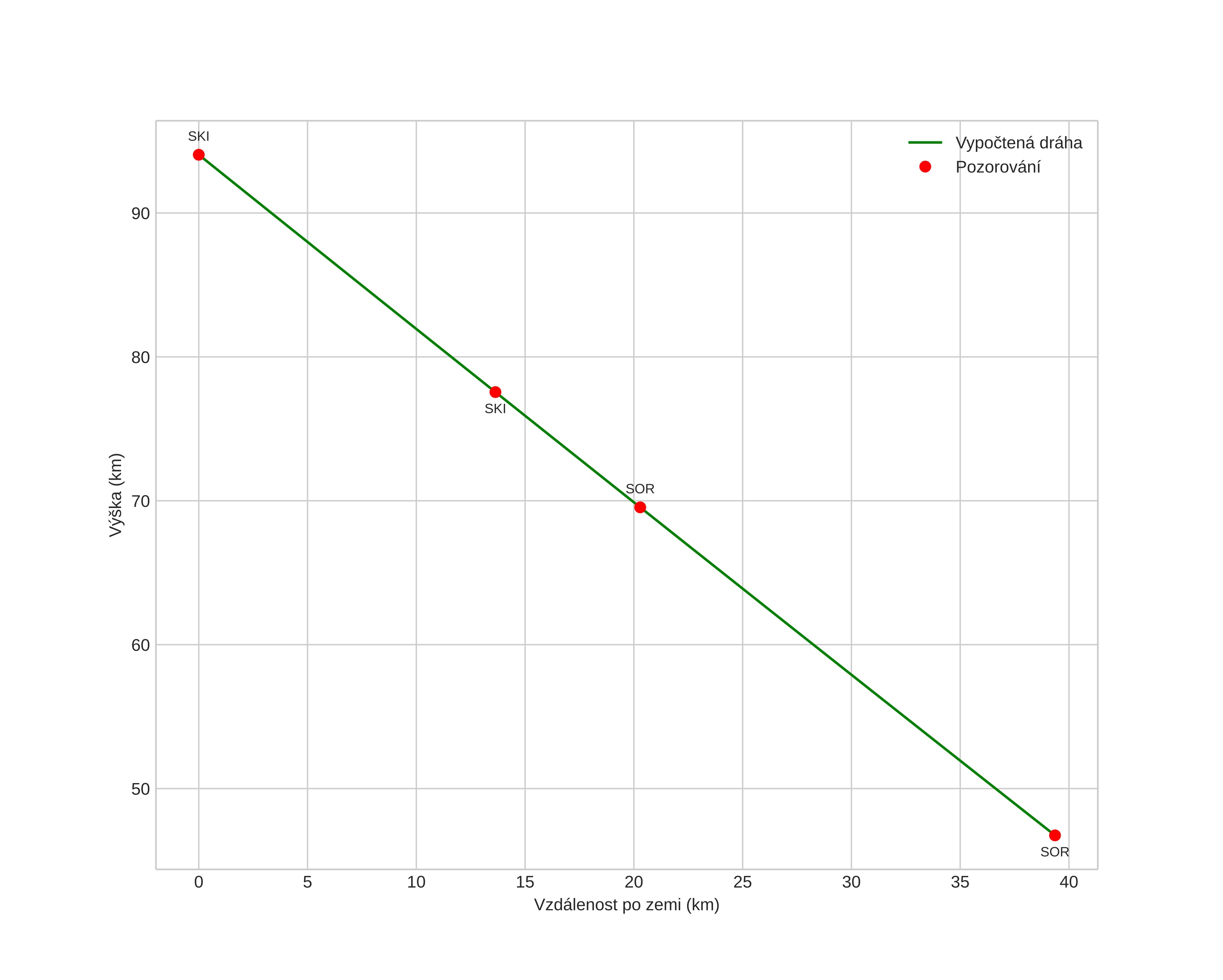
Atmosférická dráha meteoru:
Počáteční výška: 95,0 km
Konečná výška: 49,6 km
Počáteční poloha: 70,665N 24,088E
Konečná poloha: 70,839N 24,737E
Směr: 50,6°
Sklon: 56,0°
Vstupní rychlost: 20,6 km/s
Rektascenze radiantu: 02:11 (32,8°)
Deklinace radiantu: 38,5°
Meteorický roj: sporadický
Elementy dráhy meteoroidu:
Vzdálenost v periheliu: 0,898 AU
Excentricita: 1,019
Sklon dráhy: 9,9°
Délka vzestupného uzlu: 262,3°
Argument perihelia: 214,3°
Střední anomálie: -0,1°
Epocha: 2023 DEC 14 21:31:51
orbit plot

Neinteraktivní graf | Interaktivní graf

position vs time
speed and acceleration