🇳🇴 🇬🇧 🇩🇪 🇨🇿 🇫🇮

Meteor, poloha: Kautokeino 2023-12-14 21:34:45 UTC

Soubor KML  |  InteraktivnĂ­ mapa

Mapa zobrazuje dráhy meteoru. Světlejší čáry ukazují směry od pozorovacích stanic při objevení se meteoru a tmavší čáry, kde byl naposledy viděn. Modrá šipka značí viditelnou dráhu meteoru.

static map
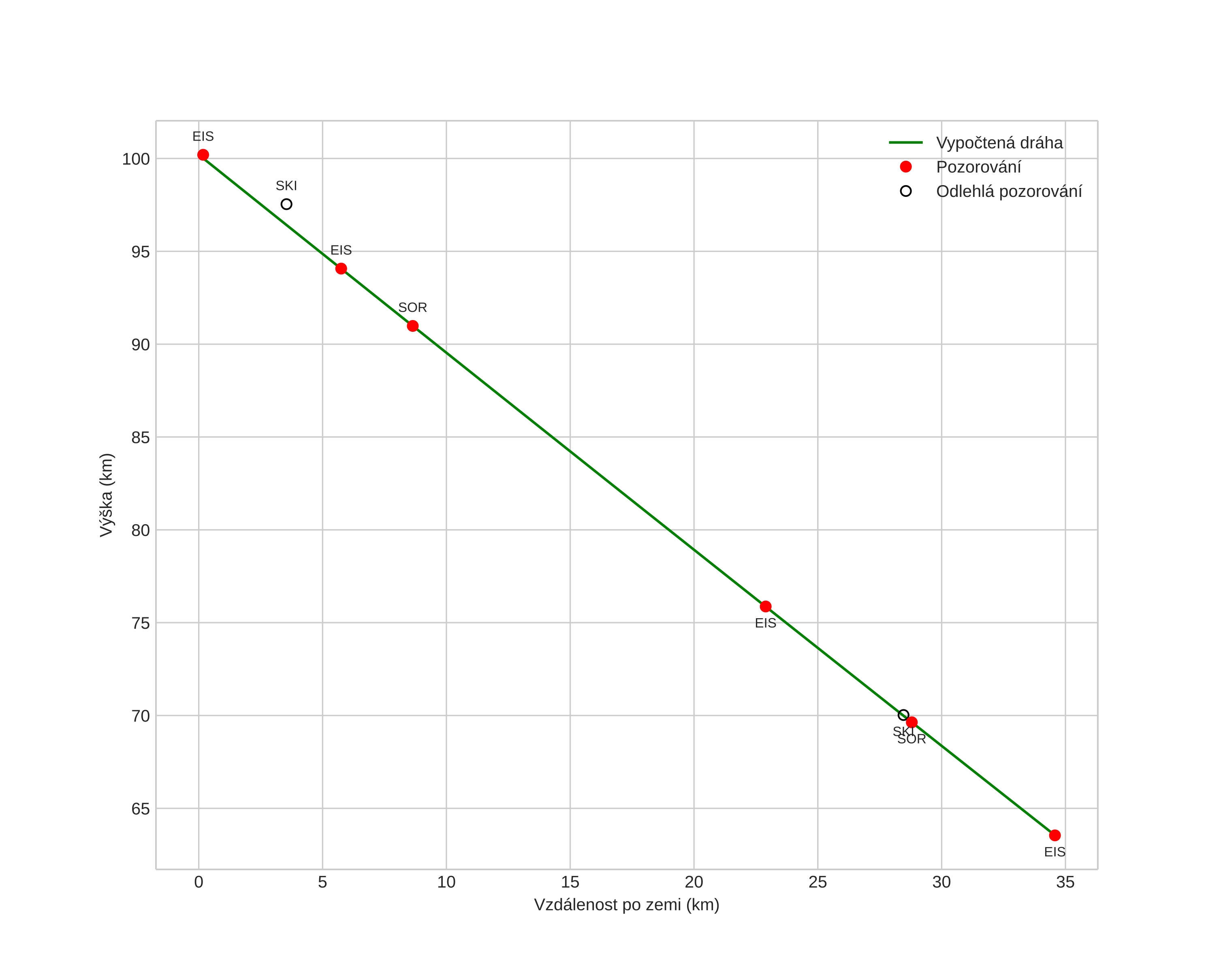
height profile
Atmosférická dráha meteoru:
Počáteční výška: 97,9 km
Konečná výška: 63,9 km
Počáteční poloha: 68,732N 23,327E
Konečná poloha: 68,885N 22,650E
Směr: 302,4°
Sklon: 46,6°
VstupnĂ­ rychlost: 36,0 km/s
Rektascenze radiantu: 07:34 (113,7°)
Deklinace radiantu: 32,0°
MeteorickĂ˝ roj: Geminidy
Elementy dráhy meteoroidu:
Vzdálenost v periheliu: 0,142 AU
Excentricita: 0,894
Sklon dráhy: 22,7°
Délka vzestupného uzlu: 262,3°
Argument perihelia: 324,4°
Střední anomálie: 336,1°
Epocha: 2023 DEC 14 21:34:45
orbit plot

NeinteraktivnĂ­ graf | InteraktivnĂ­ graf

position vs time
speed and acceleration