🇳🇴 🇬🇧 🇩🇪 🇨🇿 🇫🇮

Meteor, poloha: Reine 2023-12-14 21:35:12 UTC

Soubor KML  |  InteraktivnĂ­ mapa

Mapa zobrazuje dráhy meteoru. Světlejší čáry ukazují směry od pozorovacích stanic při objevení se meteoru a tmavší čáry, kde byl naposledy viděn. Modrá šipka značí viditelnou dráhu meteoru.

static map
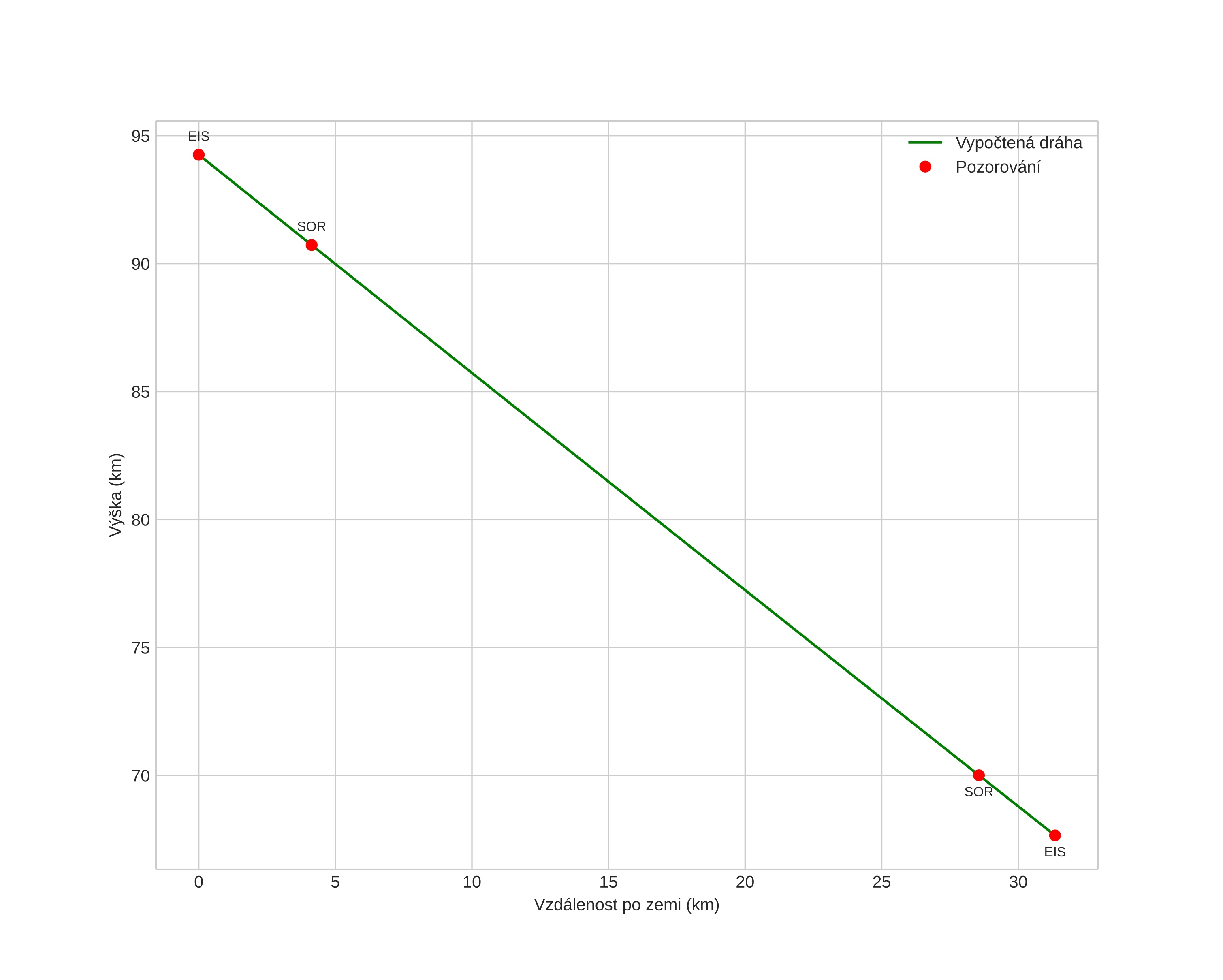
height profile
Atmosférická dráha meteoru:
Počáteční výška: 97,7 km
Konečná výška: 69,1 km
Počáteční poloha: 68,444N 13,281E
Konečná poloha: 68,524N 12,527E
Směr: 286,4°
Sklon: 41,8°
VstupnĂ­ rychlost: 35,8 km/s
Rektascenze radiantu: 07:54 (118,6°)
Deklinace radiantu: 31,8°
MeteorickĂ˝ roj: Geminidy
Elementy dráhy meteoroidu:
Vzdálenost v periheliu: 0,113 AU
Excentricita: 0,898
Sklon dráhy: 26,9°
Délka vzestupného uzlu: 262,3°
Argument perihelia: 330,5°
Střední anomálie: 328,2°
Epocha: 2023 DEC 14 21:35:12
orbit plot

NeinteraktivnĂ­ graf | InteraktivnĂ­ graf

position vs time
speed and acceleration