🇳🇴 🇬🇧 🇩🇪 🇨🇿 🇫🇮

Meteor, poloha: Myre 2023-12-14 21:40:07 UTC

Soubor KML  |  InteraktivnĂ­ mapa

Mapa zobrazuje dráhy meteoru. Světlejší čáry ukazují směry od pozorovacích stanic při objevení se meteoru a tmavší čáry, kde byl naposledy viděn. Modrá šipka značí viditelnou dráhu meteoru.

static map
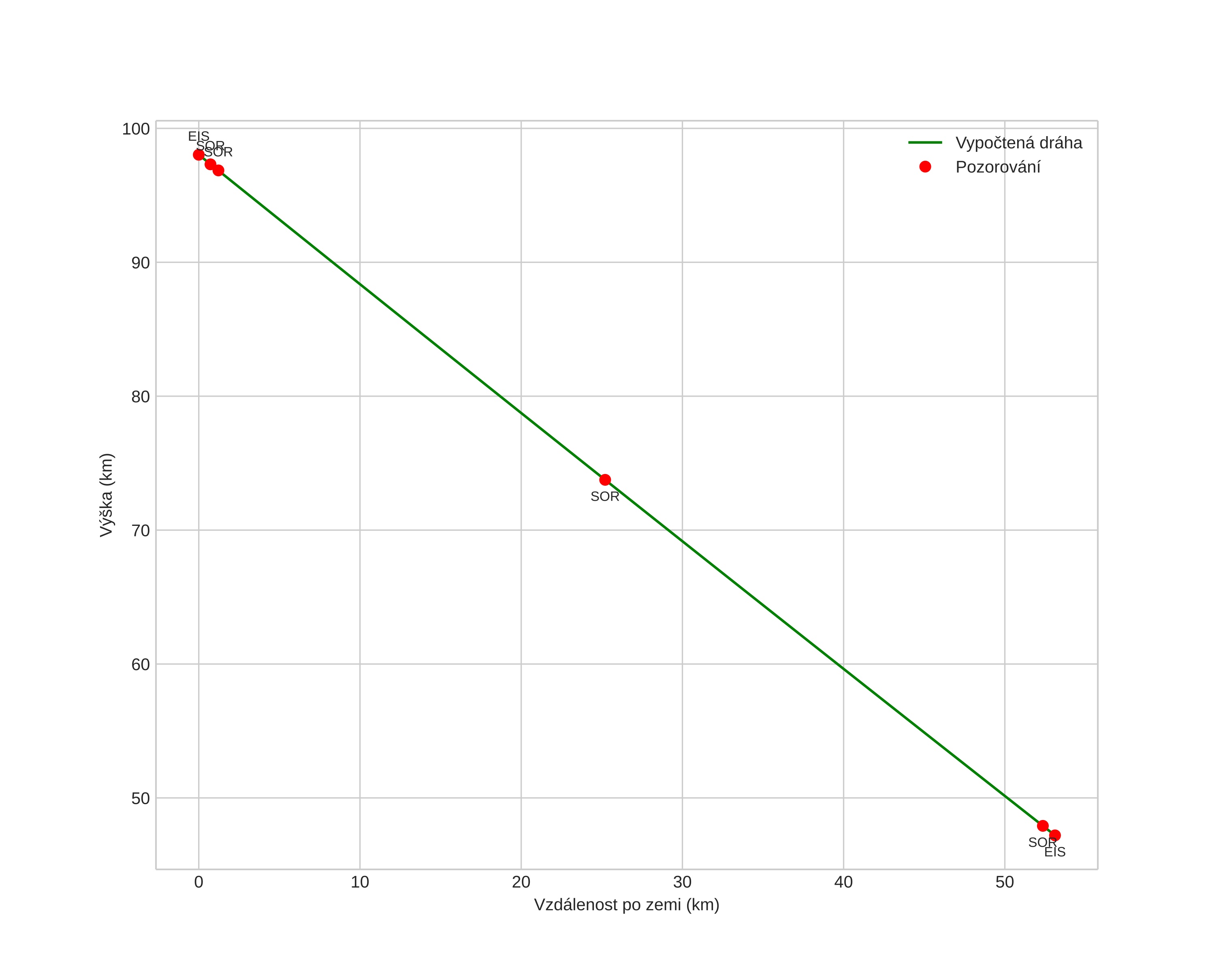
height profile
Atmosférická dráha meteoru:
Počáteční výška: 98,4 km
Konečná výška: 46,5 km
Počáteční poloha: 68,956N 16,184E
Konečná poloha: 69,153N 15,026E
Směr: 296,0°
Sklon: 45,5°
VstupnĂ­ rychlost: 35,5 km/s
Rektascenze radiantu: 07:34 (113,6°)
Deklinace radiantu: 32,8°
MeteorickĂ˝ roj: Geminidy
Elementy dráhy meteoroidu:
Vzdálenost v periheliu: 0,153 AU
Excentricita: 0,883
Sklon dráhy: 23,1°
Délka vzestupného uzlu: 262,3°
Argument perihelia: 323,2°
Střední anomálie: 334,9°
Epocha: 2023 DEC 14 21:40:07
orbit plot

NeinteraktivnĂ­ graf | InteraktivnĂ­ graf

position vs time
speed and acceleration