🇳🇴 🇬🇧 🇩🇪 🇨🇿 🇫🇮

Meteor, poloha: Sørland 2023-12-14 21:52:43 UTC

Soubor KML  |  InteraktivnĂ­ mapa

Mapa zobrazuje dráhy meteoru. Světlejší čáry ukazují směry od pozorovacích stanic při objevení se meteoru a tmavší čáry, kde byl naposledy viděn. Modrá šipka značí viditelnou dráhu meteoru.

static map
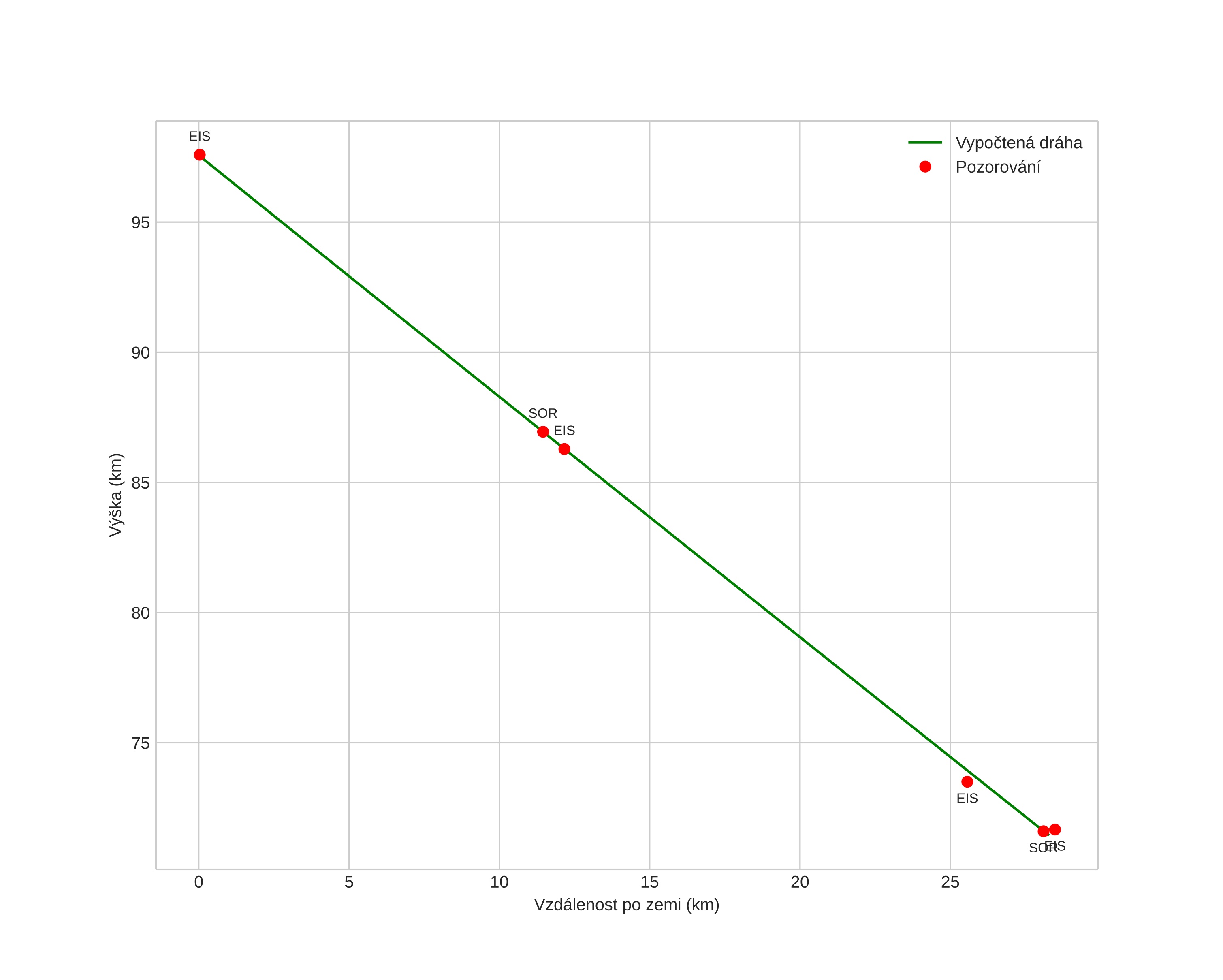
height profile
Atmosférická dráha meteoru:
Počáteční výška: 97,1 km
Konečná výška: 71,3 km
Počáteční poloha: 68,349N 13,038E
Konečná poloha: 68,443N 12,436E
Směr: 293,3°
Sklon: 44,0°
VstupnĂ­ rychlost: 38,7 km/s
Rektascenze radiantu: 07:44 (116,1°)
Deklinace radiantu: 31,8°
MeteorickĂ˝ roj: Geminidy
Elementy dráhy meteoroidu:
Vzdálenost v periheliu: 0,108 AU
Excentricita: 0,926
Sklon dráhy: 28,9°
Délka vzestupného uzlu: 262,3°
Argument perihelia: 328,4°
Střední anomálie: 340,2°
Epocha: 2023 DEC 14 21:52:43
orbit plot

NeinteraktivnĂ­ graf | InteraktivnĂ­ graf

position vs time
speed and acceleration