🇳🇴 🇬🇧 🇩🇪 🇨🇿 🇫🇮

Meteor, poloha: Myre 2023-12-14 21:53:18 UTC

Soubor KML  |  InteraktivnĂ­ mapa

Mapa zobrazuje dráhy meteoru. Světlejší čáry ukazují směry od pozorovacích stanic při objevení se meteoru a tmavší čáry, kde byl naposledy viděn. Modrá šipka značí viditelnou dráhu meteoru.

static map
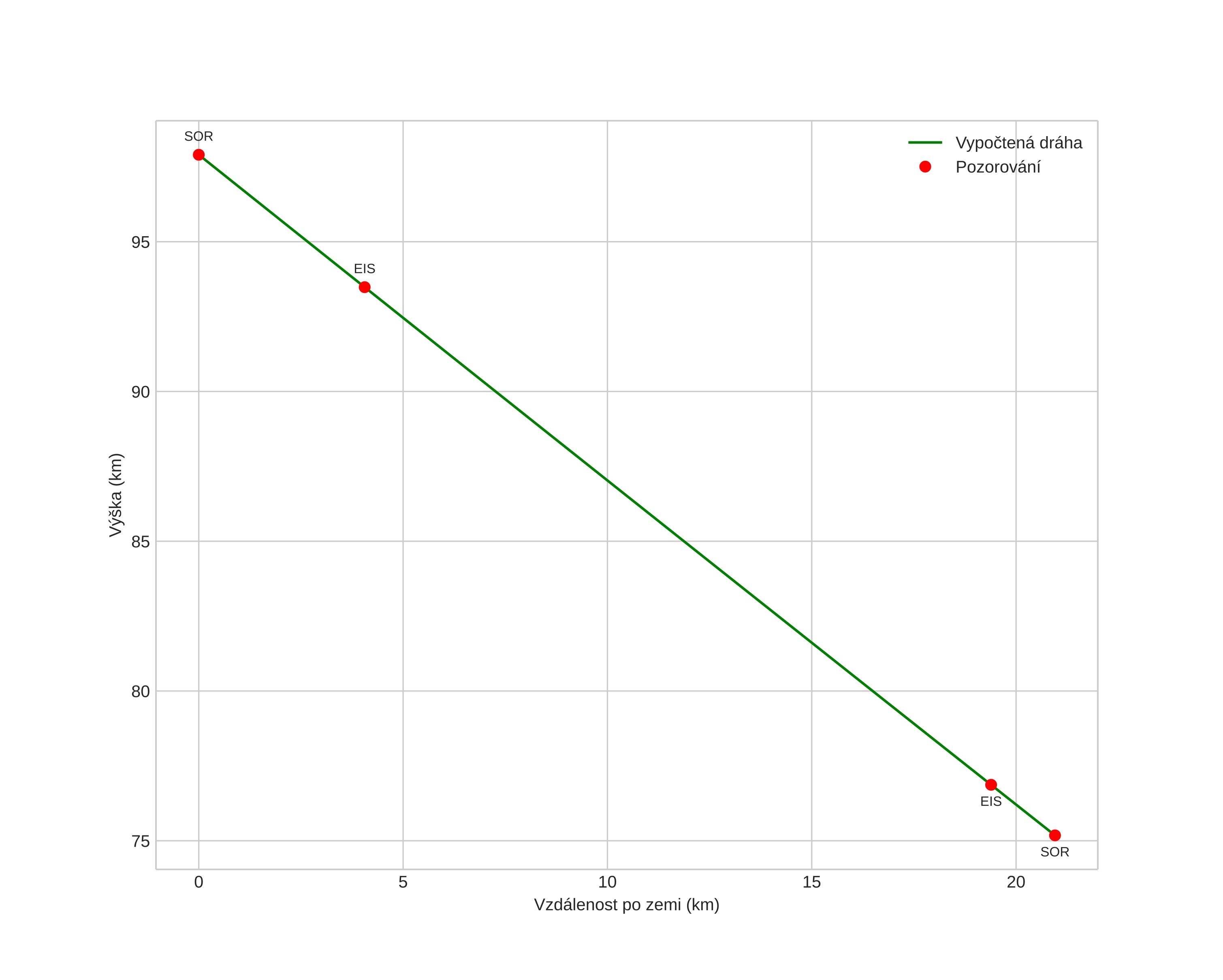
height profile
Atmosférická dráha meteoru:
Počáteční výška: 98,7 km
Konečná výška: 75,7 km
Počáteční poloha: 69,097N 15,631E
Konečná poloha: 69,191N 15,170E
Směr: 300,1°
Sklon: 47,5°
VstupnĂ­ rychlost: 35,4 km/s
Rektascenze radiantu: 07:28 (112,2°)
Deklinace radiantu: 33,7°
MeteorickĂ˝ roj: Geminidy
Elementy dráhy meteoroidu:
Vzdálenost v periheliu: 0,169 AU
Excentricita: 0,878
Sklon dráhy: 23,4°
Délka vzestupného uzlu: 262,3°
Argument perihelia: 320,4°
Střední anomálie: 336,9°
Epocha: 2023 DEC 14 21:53:18
orbit plot

NeinteraktivnĂ­ graf | InteraktivnĂ­ graf

position vs time
speed and acceleration