🇳🇴 🇬🇧 🇩🇪 🇨🇿 🇫🇮

Meteor, poloha: Myre 2023-12-14 22:52:19 UTC

Eiscat – 1
Eiscat – 1
Eiscat – 2
Eiscat – 2
Sørreisa – 3
Sørreisa – 3

Soubor KML  | Interaktivní mapa

map

Mapa zobrazuje dráhy meteoru. Světlejší čáry ukazují směry od pozorovacích stanic při objevení se meteoru a tmavší čáry, kde byl naposledy viděn. Modrá šipka značí viditelnou dráhu meteoru.

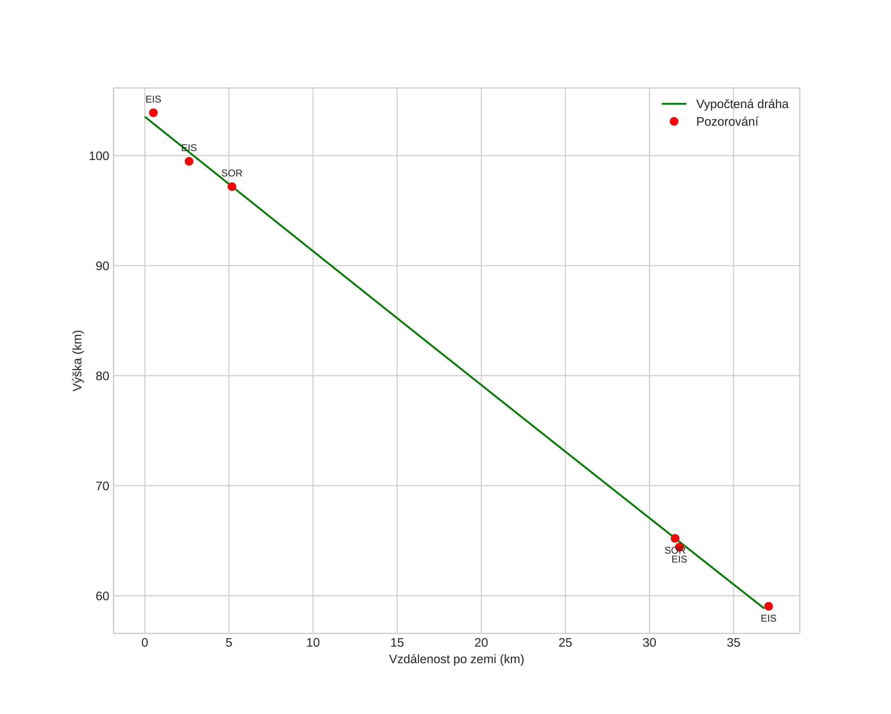
height profile
Atmosférická dráha meteoru:
Počáteční výška: 102,5 km
Konečná výška: 58,1 km
Počáteční poloha: 68,734N 15,559E
Konečná poloha: 68,972N 14,924E
Směr: 316,3°
Sklon: 50,4°
Vstupní rychlost: 35,6 km/s
Rektascenze radiantu: 07:33 (113,4°)
Deklinace radiantu: 32,5°
Meteorický roj: Geminidy
Elementy dráhy meteoroidu:
Vzdálenost v periheliu: 0,151 AU
Excentricita: 0,886
Sklon dráhy: 22,7°
Délka vzestupného uzlu: 262,3°
Argument perihelia: 323,2°
Střední anomálie: 335,7°
Epocha: 2023 DEC 14 22:52:19
orbit

Neinteraktivní graf | Interaktivní graf

position vs time
speed & acceleration