🇳🇴 🇬🇧 🇩🇪 🇨🇿 🇫🇮

Meteor, poloha: Utsjoki 2023-12-14 23:02:06 UTC

Soubor KML  |  InteraktivnĂ­ mapa

Mapa zobrazuje dráhy meteoru. Světlejší čáry ukazují směry od pozorovacích stanic při objevení se meteoru a tmavší čáry, kde byl naposledy viděn. Modrá šipka značí viditelnou dráhu meteoru.

static map
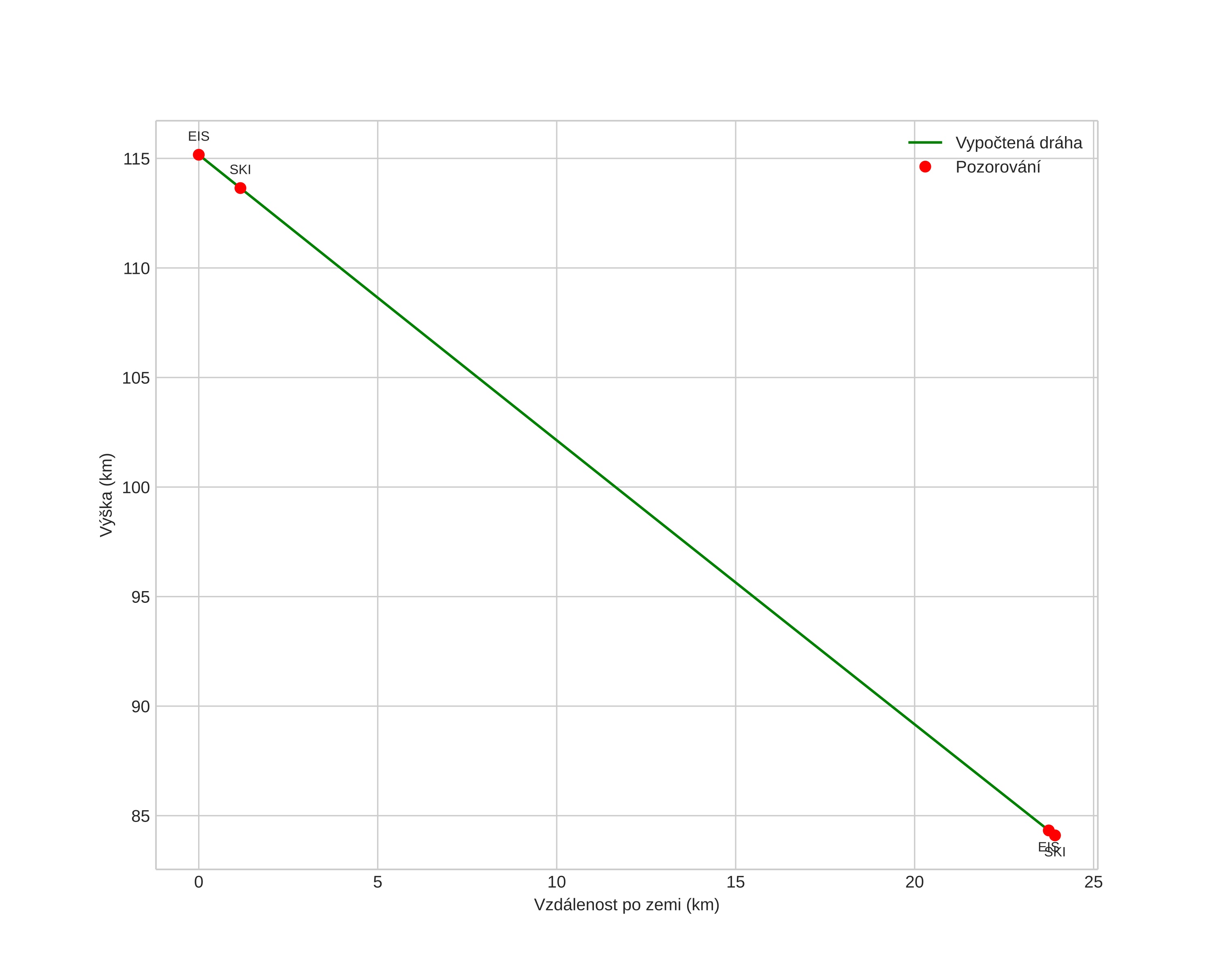
height profile
Atmosférická dráha meteoru:
Počáteční výška: 109,5 km
Konečná výška: 80,1 km
Počáteční poloha: 69,772N 26,412E
Konečná poloha: 69,963N 26,208E
Směr: 340,0°
Sklon: 52,3°
VstupnĂ­ rychlost: 38,8 km/s
Rektascenze radiantu: 07:16 (109,1°)
Deklinace radiantu: 32,1°
MeteorickĂ˝ roj: Geminidy
Elementy dráhy meteoroidu:
Vzdálenost v periheliu: 0,156 AU
Excentricita: 0,931
Sklon dráhy: 22,3°
Délka vzestupného uzlu: 262,4°
Argument perihelia: 318,2°
Střední anomálie: 349,7°
Epocha: 2023 DEC 14 23:02:06
orbit plot

NeinteraktivnĂ­ graf | InteraktivnĂ­ graf

position vs time
speed and acceleration