🇳🇴 🇬🇧 🇩🇪 🇨🇿 🇫🇮

Meteor, poloha: Breivikbotn 2023-12-14 23:40:36 UTC

Soubor KML  |  InteraktivnĂ­ mapa

Mapa zobrazuje dráhy meteoru. Světlejší čáry ukazují směry od pozorovacích stanic při objevení se meteoru a tmavší čáry, kde byl naposledy viděn. Modrá šipka značí viditelnou dráhu meteoru.

static map
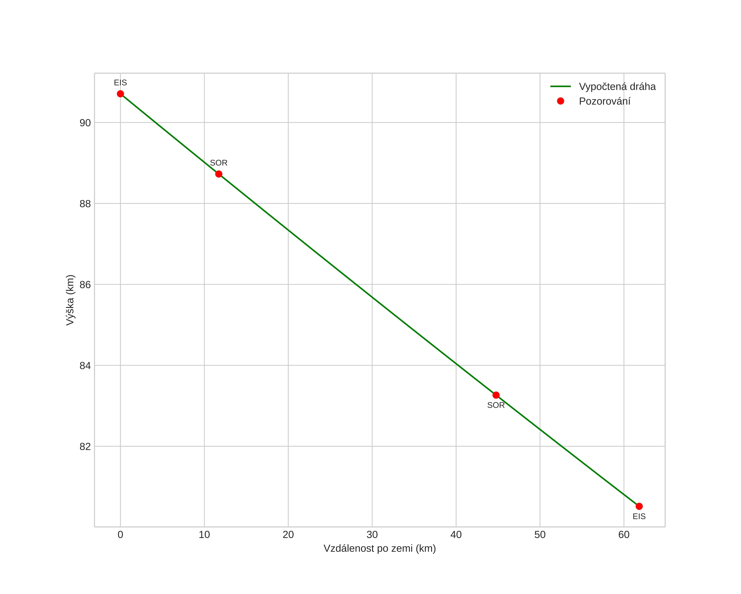
height profile
Atmosférická dráha meteoru:
Počáteční výška: 96,2 km
Konečná výška: 78,7 km
Počáteční poloha: 70,220N 22,094E
Konečná poloha: 70,656N 22,613E
Směr: 21,5°
Sklon: 18,6°
VstupnĂ­ rychlost: 42,3 km/s
Rektascenze radiantu: 05:18 (79,5°)
Deklinace radiantu: -1,4°
MeteorickĂ˝ roj: sporadickĂ˝
Elementy dráhy meteoroidu:
Vzdálenost v periheliu: 0,570 AU
Excentricita: 1,611
Sklon dráhy: 27,3°
Délka vzestupného uzlu: 82,4°
Argument perihelia: 71,5°
Střední anomálie: -31,5°
Epocha: 2023 DEC 14 23:40:36
orbit plot

NeinteraktivnĂ­ graf | InteraktivnĂ­ graf

position vs time
speed and acceleration