🇳🇴 🇬🇧 🇩🇪 🇨🇿 🇫🇮

Meteor, poloha: Kiruna 2023-12-14 23:47:03 UTC

Soubor KML  |  InteraktivnĂ­ mapa

Mapa zobrazuje dráhy meteoru. Světlejší čáry ukazují směry od pozorovacích stanic při objevení se meteoru a tmavší čáry, kde byl naposledy viděn. Modrá šipka značí viditelnou dráhu meteoru.

static map
height profile
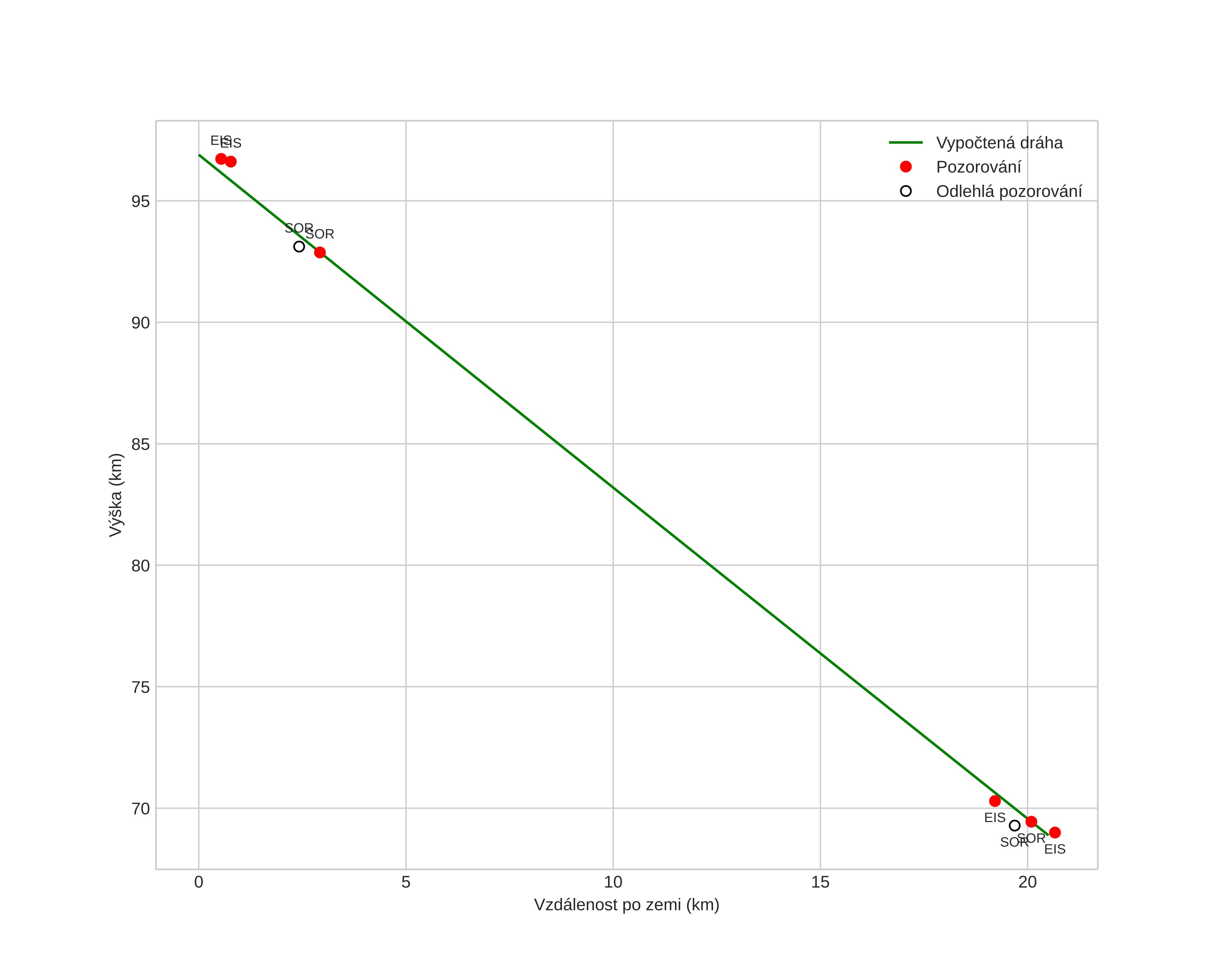
Atmosférická dráha meteoru:
Počáteční výška: 97,5 km
Konečná výška: 69,5 km
Počáteční poloha: 68,157N 19,707E
Konečná poloha: 68,326N 19,536E
Směr: 339,5°
Sklon: 54,4°
VstupnĂ­ rychlost: 34,8 km/s
Rektascenze radiantu: 07:33 (113,4°)
Deklinace radiantu: 32,5°
MeteorickĂ˝ roj: Geminidy
Elementy dráhy meteoroidu:
Vzdálenost v periheliu: 0,159 AU
Excentricita: 0,876
Sklon dráhy: 21,7°
Délka vzestupného uzlu: 262,4°
Argument perihelia: 322,9°
Střední anomálie: 333,5°
Epocha: 2023 DEC 14 23:47:03
orbit plot

NeinteraktivnĂ­ graf | InteraktivnĂ­ graf

position vs time
speed and acceleration