🇳🇴 🇬🇧 🇩🇪 🇨🇿 🇫🇮

Meteor, poloha: Brøstadbotn 2023-12-14 23:48:07 UTC

Soubor KML  |  InteraktivnĂ­ mapa

Mapa zobrazuje dráhy meteoru. Světlejší čáry ukazují směry od pozorovacích stanic při objevení se meteoru a tmavší čáry, kde byl naposledy viděn. Modrá šipka značí viditelnou dráhu meteoru.

static map
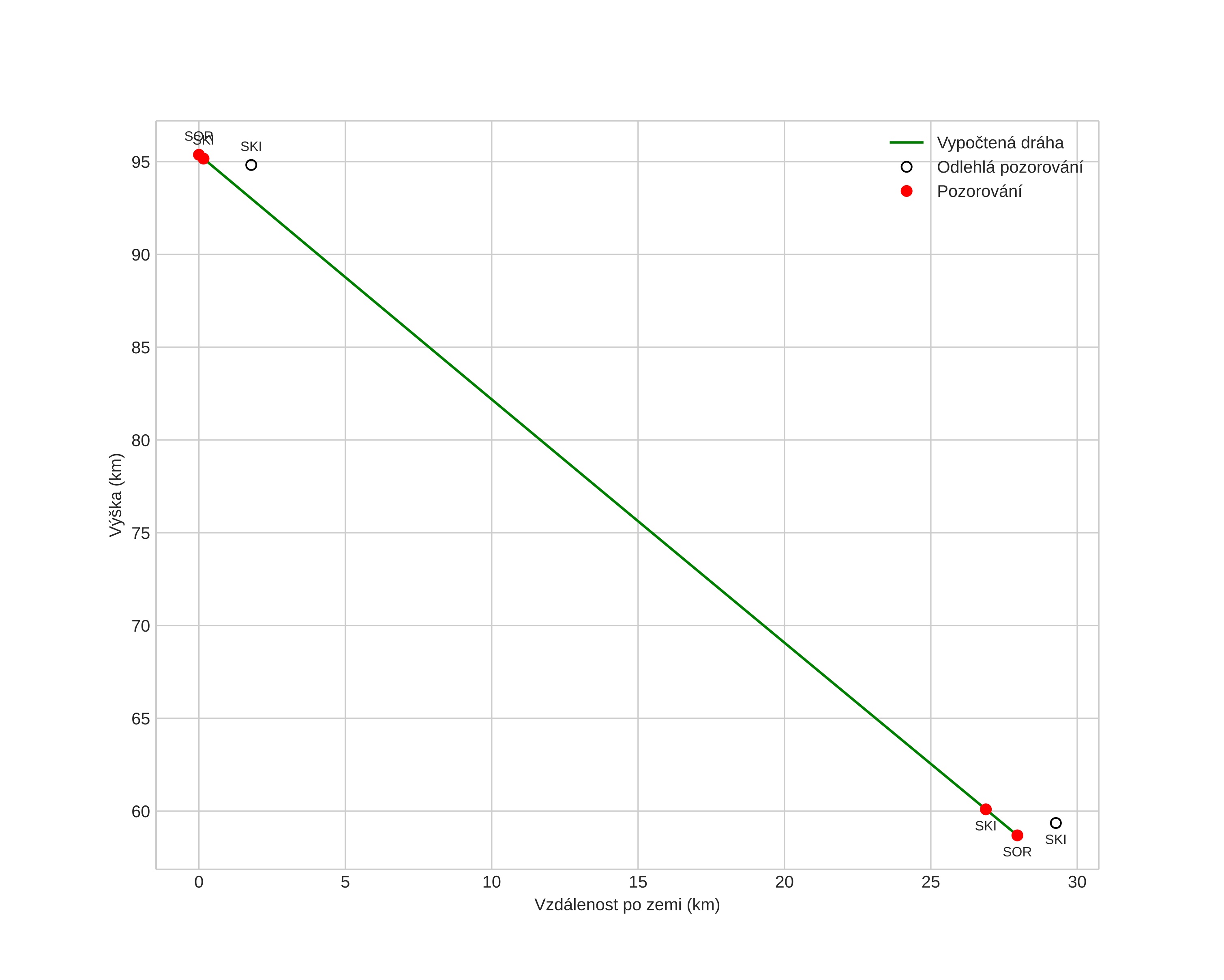
height profile
Atmosférická dráha meteoru:
Počáteční výška: 95,3 km
Konečná výška: 58,7 km
Počáteční poloha: 69,453N 17,762E
Konečná poloha: 69,685N 17,483E
Směr: 337,5°
Sklon: 52,6°
VstupnĂ­ rychlost: 36,6 km/s
Rektascenze radiantu: 07:34 (113,7°)
Deklinace radiantu: 32,2°
MeteorickĂ˝ roj: Geminidy
Elementy dráhy meteoroidu:
Vzdálenost v periheliu: 0,140 AU
Excentricita: 0,900
Sklon dráhy: 23,8°
Délka vzestupného uzlu: 262,4°
Argument perihelia: 324,2°
Střední anomálie: 338,0°
Epocha: 2023 DEC 14 23:48:07
orbit plot

NeinteraktivnĂ­ graf | InteraktivnĂ­ graf

position vs time
speed and acceleration