🇳🇴 🇬🇧 🇩🇪 🇨🇿 🇫🇮

Meteor über Røst 2023-12-14 23:52:51 UTC

Eiscat – 2
Eiscat – 2
Sørreisa – 3
Sørreisa – 3

KML-Datei  | Interaktive Karte

map

Die Karte zeigt die Peilungen für den Meteor. Die helleren Linien zeigen die Richtungen von den Beobachtungsorten beim Erscheinen des Meteors, und die dunkleren Linien, wo er zuletzt gesehen wurde. Der blaue Pfeil zeigt die sichtbare Bahn des Meteors.

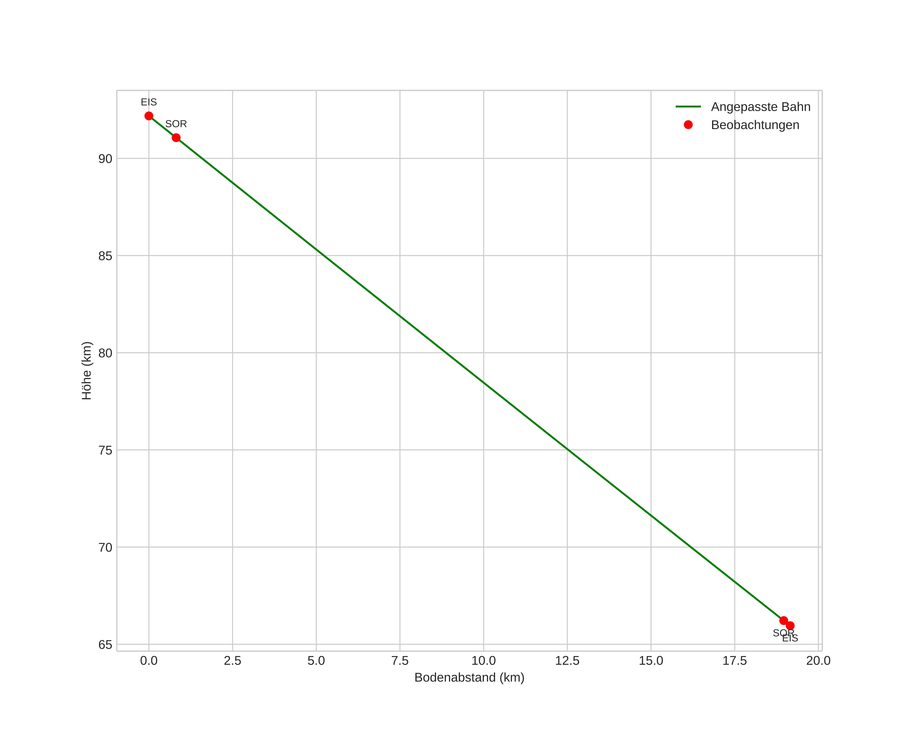
height profile
Atmosphärische Bahn des Meteors:
Anfangshöhe: 92,5 km
Endhöhe: 66,2 km
Startposition: 68,129N 11,611E
Endposition: 68,293N 11,465E
Richtung: 341,9°
Neigungswinkel: 53,7°
Eintrittsgeschwindigkeit: 40,0 km/s
Rektaszension des Radianten: 07:00 (105,1°)
Deklination des Radianten: 31,9°
Meteorstrom: Geminiden
Bahnelemente des Meteoroiden:
Periheldistanz: 0,181 AU
Exzentrizität: 0,957
Inklination: 19,7°
Länge des aufsteigenden Knotens: 262,4°
Argument des Perihels: 312,0°
Mittlere Anomalie: 356,1°
Epoche: 2023 DEC 14 23:52:51
orbit

Nicht-interaktives Diagramm | Interaktives Diagramm

position vs time
speed & acceleration